Get the free L-b2008b REV 7-13-Lpdf
Show details
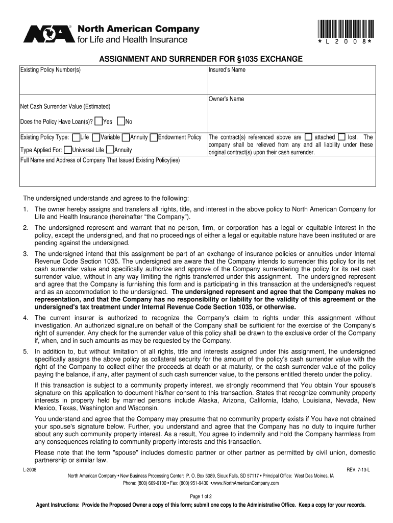
Clear Form Clear Kit ASSIGNMENT AND SURRENDER FOR 1035 EXCHANGE Existing Policy Number(s) Insureds Name Owners Name Net Cash Surrender Value (Estimated) Does the Policy Have Loan(s)? Existing Policy
We are not affiliated with any brand or entity on this form
Get, Create, Make and Sign l-b2008b rev 7-13-lpdf
Edit your l-b2008b rev 7-13-lpdf form online
Type text, complete fillable fields, insert images, highlight or blackout data for discretion, add comments, and more.
Add your legally-binding signature
Draw or type your signature, upload a signature image, or capture it with your digital camera.
Share your form instantly
Email, fax, or share your l-b2008b rev 7-13-lpdf form via URL. You can also download, print, or export forms to your preferred cloud storage service.
How to edit l-b2008b rev 7-13-lpdf online
Use the instructions below to start using our professional PDF editor:
1
Log into your account. If you don't have a profile yet, click Start Free Trial and sign up for one.
2
Simply add a document. Select Add New from your Dashboard and import a file into the system by uploading it from your device or importing it via the cloud, online, or internal mail. Then click Begin editing.
3
Edit l-b2008b rev 7-13-lpdf. Add and replace text, insert new objects, rearrange pages, add watermarks and page numbers, and more. Click Done when you are finished editing and go to the Documents tab to merge, split, lock or unlock the file.
4
Get your file. Select the name of your file in the docs list and choose your preferred exporting method. You can download it as a PDF, save it in another format, send it by email, or transfer it to the cloud.
pdfFiller makes working with documents easier than you could ever imagine. Register for an account and see for yourself!
Uncompromising security for your PDF editing and eSignature needs
Your private information is safe with pdfFiller. We employ end-to-end encryption, secure cloud storage, and advanced access control to protect your documents and maintain regulatory compliance.
How to fill out l-b2008b rev 7-13-lpdf
How to fill out l-b2008b rev 7-13-lpdf:
01
Start by downloading the l-b2008b rev 7-13-lpdf form from a reliable source.
02
Open the downloaded form using a PDF reader or editing software that supports PDF files.
03
Carefully read through the instructions provided on the form to understand the purpose and requirements of filling it out.
04
Begin filling out the form by entering your personal information, such as your full name, address, contact details, and any other required identification details.
05
Follow the instructions on the form to provide the necessary information in each section. This may include details related to employment, income, assets, liabilities, or any other relevant information.
06
Double-check all the information provided to ensure accuracy and completeness. Make sure to reconfirm spellings and verify the accuracy of numerical data.
07
If there are any sections or questions that you are unsure about, seek guidance or clarification from the appropriate authority or expert in the field.
08
Complete any additional sections or requirements specified in the form, such as obtaining signatures or attaching supporting documents.
09
Save a copy of the filled-out form for your records before submitting it, either electronically or by printing it out and mailing it in.
10
Review the submission process outlined on the form and follow the instructions to submit the completed l-b2008b rev 7-13-lpdf form to the designated recipient or organization.
Who needs l-b2008b rev 7-13-lpdf:
01
Individuals or entities required to provide certain financial or personal information to a specific authority, organization, or institution may need to fill out the l-b2008b rev 7-13-lpdf form.
02
This form might be necessary for individuals applying for loans, grants, financial assistance, or any other form of financial benefit.
03
It could be relevant for individuals seeking tax exemptions, benefits, or incentives.
04
Businesses or organizations may also need to fill out this form as part of certain regulatory or compliance requirements.
05
The specific purpose for needing the l-b2008b rev 7-13-lpdf form may vary depending on the jurisdiction, industry, or circumstance in which it is required. It is essential to refer to the specific instructions or guidelines provided alongside the form to determine its applicability in a particular situation.
Fill
form
: Try Risk Free
For pdfFiller’s FAQs
Below is a list of the most common customer questions. If you can’t find an answer to your question, please don’t hesitate to reach out to us.
How can I edit l-b2008b rev 7-13-lpdf from Google Drive?
By combining pdfFiller with Google Docs, you can generate fillable forms directly in Google Drive. No need to leave Google Drive to make edits or sign documents, including l-b2008b rev 7-13-lpdf. Use pdfFiller's features in Google Drive to handle documents on any internet-connected device.
How can I send l-b2008b rev 7-13-lpdf to be eSigned by others?
Once you are ready to share your l-b2008b rev 7-13-lpdf, you can easily send it to others and get the eSigned document back just as quickly. Share your PDF by email, fax, text message, or USPS mail, or notarize it online. You can do all of this without ever leaving your account.
How do I complete l-b2008b rev 7-13-lpdf online?
Easy online l-b2008b rev 7-13-lpdf completion using pdfFiller. Also, it allows you to legally eSign your form and change original PDF material. Create a free account and manage documents online.
What is l-b2008b rev 7-13-lpdf?
l-b2008b rev 7-13-lpdf is a specific form used for reporting financial information.
Who is required to file l-b2008b rev 7-13-lpdf?
Entities or individuals required to report financial information may need to file l-b2008b rev 7-13-lpdf.
How to fill out l-b2008b rev 7-13-lpdf?
To fill out l-b2008b rev 7-13-lpdf, carefully input all required financial information in the appropriate sections of the form.
What is the purpose of l-b2008b rev 7-13-lpdf?
The purpose of l-b2008b rev 7-13-lpdf is to provide a standardized way for reporting financial data.
What information must be reported on l-b2008b rev 7-13-lpdf?
Information such as income, expenses, assets, and liabilities may need to be reported on l-b2008b rev 7-13-lpdf.
Fill out your l-b2008b rev 7-13-lpdf online with pdfFiller!
pdfFiller is an end-to-end solution for managing, creating, and editing documents and forms in the cloud. Save time and hassle by preparing your tax forms online.
L-b2008b Rev 7-13-Lpdf is not the form you're looking for?Search for another form here.
Relevant keywords
Related Forms
If you believe that this page should be taken down, please follow our DMCA take down process
here
.
This form may include fields for payment information. Data entered in these fields is not covered by PCI DSS compliance.