Get the free Exercise 7 Northeast State Technical Community College Job Application - web scott k...
Show details
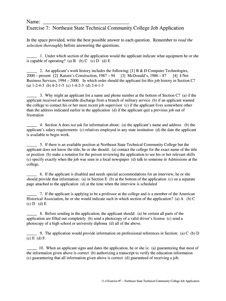
Name: Exercise 7: Northeast State Technical Community College Job Application In the space provided, write the best possible answer to each question. Remember to read the selection thoroughly before
We are not affiliated with any brand or entity on this form
Get, Create, Make and Sign exercise 7 norformast state
Edit your exercise 7 norformast state form online
Type text, complete fillable fields, insert images, highlight or blackout data for discretion, add comments, and more.
Add your legally-binding signature
Draw or type your signature, upload a signature image, or capture it with your digital camera.
Share your form instantly
Email, fax, or share your exercise 7 norformast state form via URL. You can also download, print, or export forms to your preferred cloud storage service.
Editing exercise 7 norformast state online
Follow the guidelines below to benefit from the PDF editor's expertise:
1
Log in. Click Start Free Trial and create a profile if necessary.
2
Upload a document. Select Add New on your Dashboard and transfer a file into the system in one of the following ways: by uploading it from your device or importing from the cloud, web, or internal mail. Then, click Start editing.
3
Edit exercise 7 norformast state. Add and change text, add new objects, move pages, add watermarks and page numbers, and more. Then click Done when you're done editing and go to the Documents tab to merge or split the file. If you want to lock or unlock the file, click the lock or unlock button.
4
Get your file. Select your file from the documents list and pick your export method. You may save it as a PDF, email it, or upload it to the cloud.
pdfFiller makes working with documents easier than you could ever imagine. Register for an account and see for yourself!
Uncompromising security for your PDF editing and eSignature needs
Your private information is safe with pdfFiller. We employ end-to-end encryption, secure cloud storage, and advanced access control to protect your documents and maintain regulatory compliance.
How to fill out exercise 7 norformast state
How to fill out exercise 7 norformast state:
01
Start by reading the instructions carefully. Understand the purpose and requirements of exercise 7 norformast state.
02
Gather all the necessary information and materials needed to complete the exercise. This may include any relevant data, documents, or resources.
03
Begin by providing the necessary personal details, such as your name, date, and any other required identification information.
04
Follow the given format or template for filling out exercise 7 norformast state. Pay attention to any specific instructions or guidelines provided.
05
Complete each section of the exercise in a clear and concise manner. Make sure to provide accurate and relevant information.
06
Double-check your answers and review the entire exercise to ensure accuracy and completeness.
07
If there are any additional steps or requirements mentioned in the instructions, make sure to follow them accordingly.
08
Submit the completed exercise as instructed, either by hand or through online submission methods.
Who needs exercise 7 norformast state:
01
Students studying a specific topic or course that requires the completion of exercise 7 norformast state.
02
Professionals who need to document specific information or perform a task related to norformast state.
03
Individuals who are interested in deepening their knowledge and understanding of norformast state and its applications.
Fill
form
: Try Risk Free
For pdfFiller’s FAQs
Below is a list of the most common customer questions. If you can’t find an answer to your question, please don’t hesitate to reach out to us.
How do I edit exercise 7 norformast state in Chrome?
Adding the pdfFiller Google Chrome Extension to your web browser will allow you to start editing exercise 7 norformast state and other documents right away when you search for them on a Google page. People who use Chrome can use the service to make changes to their files while they are on the Chrome browser. pdfFiller lets you make fillable documents and make changes to existing PDFs from any internet-connected device.
Can I create an eSignature for the exercise 7 norformast state in Gmail?
It's easy to make your eSignature with pdfFiller, and then you can sign your exercise 7 norformast state right from your Gmail inbox with the help of pdfFiller's add-on for Gmail. This is a very important point: You must sign up for an account so that you can save your signatures and signed documents.
How do I fill out the exercise 7 norformast state form on my smartphone?
The pdfFiller mobile app makes it simple to design and fill out legal paperwork. Complete and sign exercise 7 norformast state and other papers using the app. Visit pdfFiller's website to learn more about the PDF editor's features.
What is exercise 7 norformast state?
Exercise 7 norformast state refers to a specific form or document required by the state for reporting certain information related to taxes or financial activities.
Who is required to file exercise 7 norformast state?
Only taxpayers or individuals/entities that meet certain criteria set by the state are required to file exercise 7 norformast state.
How to fill out exercise 7 norformast state?
To fill out exercise 7 norformast state, taxpayers need to provide accurate information as requested on the form and follow the instructions provided by the state.
What is the purpose of exercise 7 norformast state?
The purpose of exercise 7 norformast state is to ensure compliance with tax laws and regulations, as well as to gather important data for the state's financial records.
What information must be reported on exercise 7 norformast state?
Exercise 7 norformast state typically requires information such as income details, expenses, deductions, and any other relevant financial information.
Fill out your exercise 7 norformast state online with pdfFiller!
pdfFiller is an end-to-end solution for managing, creating, and editing documents and forms in the cloud. Save time and hassle by preparing your tax forms online.
Exercise 7 Norformast State is not the form you're looking for?Search for another form here.
Relevant keywords
Related Forms
If you believe that this page should be taken down, please follow our DMCA take down process
here
.
This form may include fields for payment information. Data entered in these fields is not covered by PCI DSS compliance.