
Get the free RFP 1402LJB ADDENDUM: ISSUED BY: RFP#: A. Respond to ... - www-bfs ucsd
Show details
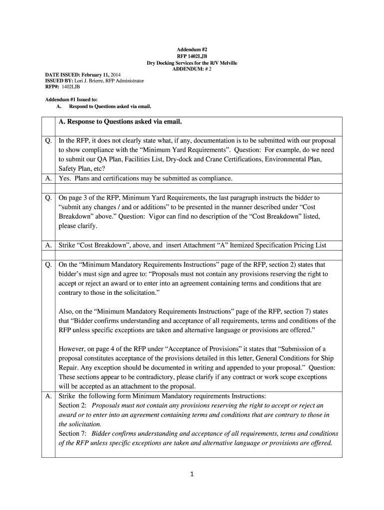
Addendum #2 RFP 1402LJB Dry Docking Services for the R/V Melville ADDENDUM: # 2 DATE ISSUED: February 11, 2014, ISSUED BY: Lori J. Brierre, RFP Administrator RFP#: 1402LJB Addendum #1 Issued to: A.
We are not affiliated with any brand or entity on this form
Get, Create, Make and Sign rfp 1402ljb addendum issued

Edit your rfp 1402ljb addendum issued form online
Type text, complete fillable fields, insert images, highlight or blackout data for discretion, add comments, and more.

Add your legally-binding signature
Draw or type your signature, upload a signature image, or capture it with your digital camera.

Share your form instantly
Email, fax, or share your rfp 1402ljb addendum issued form via URL. You can also download, print, or export forms to your preferred cloud storage service.
Editing rfp 1402ljb addendum issued online
Here are the steps you need to follow to get started with our professional PDF editor:
1
Log in to account. Click on Start Free Trial and sign up a profile if you don't have one.
2
Upload a document. Select Add New on your Dashboard and transfer a file into the system in one of the following ways: by uploading it from your device or importing from the cloud, web, or internal mail. Then, click Start editing.
3
Edit rfp 1402ljb addendum issued. Rearrange and rotate pages, add and edit text, and use additional tools. To save changes and return to your Dashboard, click Done. The Documents tab allows you to merge, divide, lock, or unlock files.
4
Save your file. Choose it from the list of records. Then, shift the pointer to the right toolbar and select one of the several exporting methods: save it in multiple formats, download it as a PDF, email it, or save it to the cloud.
Dealing with documents is always simple with pdfFiller.
Uncompromising security for your PDF editing and eSignature needs
Your private information is safe with pdfFiller. We employ end-to-end encryption, secure cloud storage, and advanced access control to protect your documents and maintain regulatory compliance.
How to fill out rfp 1402ljb addendum issued

How to fill out rfp 1402ljb addendum issued:
01
Begin by carefully reviewing the instructions provided in the addendum. Make sure you understand all the requirements and any changes that have been made to the original RFP.
02
Take note of any deadlines or submission requirements mentioned in the addendum. It is important to adhere to these instructions to ensure your response is considered.
03
Read through the original RFP document and identify any sections or requirements that have been modified or affected by the addendum. Make sure to incorporate these changes into your response.
04
If there are any questions or clarification needed regarding the addendum, reach out to the appropriate contact person listed in the RFP. It's crucial to have a clear understanding of the addendum to successfully fill out the RFP.
05
Follow the formatting and submission guidelines outlined in the original RFP and any additional instructions specified in the addendum. This may include providing additional documentation or addressing specific points mentioned in the addendum.
06
Double-check your completed response to ensure you have addressed all the changes and requirements mentioned in the addendum. Proofread for any errors or inconsistencies before submitting your proposal.
Who needs rfp 1402ljb addendum issued:
01
Contractors or vendors who have already received the original RFP 1402ljb and are intending to submit a proposal.
02
Individuals or organizations who have a relevant product or service to offer and believe they meet the qualifications outlined in the RFP and addendum.
03
Any party interested in bidding for the project outlined in the RFP 1402ljb, as the addendum may contain important information that affects the requirements or conditions of participation.
Fill
form
: Try Risk Free
For pdfFiller’s FAQs
Below is a list of the most common customer questions. If you can’t find an answer to your question, please don’t hesitate to reach out to us.
How can I send rfp 1402ljb addendum issued to be eSigned by others?
Once your rfp 1402ljb addendum issued is complete, you can securely share it with recipients and gather eSignatures with pdfFiller in just a few clicks. You may transmit a PDF by email, text message, fax, USPS mail, or online notarization directly from your account. Make an account right now and give it a go.
How do I complete rfp 1402ljb addendum issued online?
With pdfFiller, you may easily complete and sign rfp 1402ljb addendum issued online. It lets you modify original PDF material, highlight, blackout, erase, and write text anywhere on a page, legally eSign your document, and do a lot more. Create a free account to handle professional papers online.
How do I fill out rfp 1402ljb addendum issued using my mobile device?
Use the pdfFiller mobile app to fill out and sign rfp 1402ljb addendum issued on your phone or tablet. Visit our website to learn more about our mobile apps, how they work, and how to get started.
What is rfp 1402ljb addendum issued?
The RFP 1402ljb addendum was issued on July 15, 2023.
Who is required to file rfp 1402ljb addendum issued?
All vendors who submitted a proposal for RFP 1402ljb are required to file the addendum.
How to fill out rfp 1402ljb addendum issued?
To fill out the RFP 1402ljb addendum, vendors must carefully read the instructions and provide the requested information.
What is the purpose of rfp 1402ljb addendum issued?
The purpose of the RFP 1402ljb addendum is to provide additional information or make clarifications to the original RFP document.
What information must be reported on rfp 1402ljb addendum issued?
Vendors must report any changes to their proposal or provide any additional information requested in the addendum.
Fill out your rfp 1402ljb addendum issued online with pdfFiller!
pdfFiller is an end-to-end solution for managing, creating, and editing documents and forms in the cloud. Save time and hassle by preparing your tax forms online.

Rfp 1402ljb Addendum Issued is not the form you're looking for?Search for another form here.
Relevant keywords
Related Forms
If you believe that this page should be taken down, please follow our DMCA take down process
here
.
This form may include fields for payment information. Data entered in these fields is not covered by PCI DSS compliance.