
Get the free Office of Oral Health - Maryland
Show details
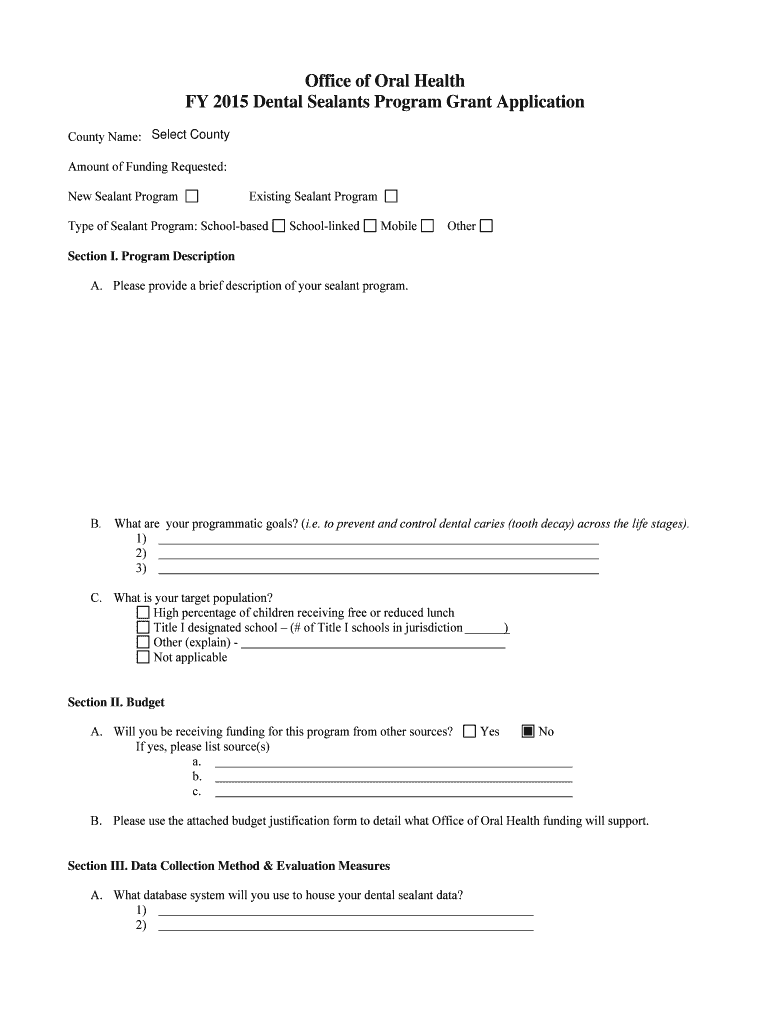
Office of Oral Health. FY 2015 Dental Sealants Program Grant Application. County Name: Amount of Funding Requested: New Sealant Program. Existing Sealant Program.
We are not affiliated with any brand or entity on this form
Get, Create, Make and Sign office of oral health

Edit your office of oral health form online
Type text, complete fillable fields, insert images, highlight or blackout data for discretion, add comments, and more.

Add your legally-binding signature
Draw or type your signature, upload a signature image, or capture it with your digital camera.

Share your form instantly
Email, fax, or share your office of oral health form via URL. You can also download, print, or export forms to your preferred cloud storage service.
Editing office of oral health online
To use our professional PDF editor, follow these steps:
1
Create an account. Begin by choosing Start Free Trial and, if you are a new user, establish a profile.
2
Upload a document. Select Add New on your Dashboard and transfer a file into the system in one of the following ways: by uploading it from your device or importing from the cloud, web, or internal mail. Then, click Start editing.
3
Edit office of oral health. Add and replace text, insert new objects, rearrange pages, add watermarks and page numbers, and more. Click Done when you are finished editing and go to the Documents tab to merge, split, lock or unlock the file.
4
Get your file. When you find your file in the docs list, click on its name and choose how you want to save it. To get the PDF, you can save it, send an email with it, or move it to the cloud.
With pdfFiller, it's always easy to work with documents. Check it out!
Uncompromising security for your PDF editing and eSignature needs
Your private information is safe with pdfFiller. We employ end-to-end encryption, secure cloud storage, and advanced access control to protect your documents and maintain regulatory compliance.
How to fill out office of oral health

How to fill out office of oral health:
01
Research the requirements: Start by understanding the specific guidelines and requirements set by the office of oral health. This may include obtaining necessary forms or documents, understanding eligibility criteria, and identifying any deadlines or submission procedures.
02
Gather necessary information: Collect all the necessary information needed to fill out the office of oral health forms. This may include personal details, medical history, dental records, insurance information, and any relevant supporting documentation.
03
Review the instructions: Carefully read through the instructions provided with the office of oral health forms. Pay attention to any specific formatting or documentation requirements, as well as any additional documents that may need to be included.
04
Fill out the forms accurately: Provide accurate and complete information in the designated spaces on the office of oral health forms. Double-check for any errors or omissions before submitting.
05
Attach supporting documents: If required, gather and attach any supporting documents or records that are requested by the office of oral health. This can include dental x-rays, medical reports, proof of insurance, or any other relevant documentation.
06
Verify the submission process: Ensure you follow the correct submission process outlined by the office of oral health. This may involve mailing the forms, submitting them online, or visiting a specific office in person. Make sure you understand whether any additional fees or payments are required.
Who needs office of oral health:
01
Individuals seeking dental care: The office of oral health is relevant for anyone in need of dental or oral health services. This includes individuals seeking dental check-ups, treatments, and procedures.
02
Dental professionals: Dentists, dental hygienists, dental assistants, and other dental professionals may also require the assistance or resources provided by the office of oral health. They may need to consult guidelines, regulations, or seek support and information regarding best practices in oral healthcare.
03
Public health organizations: Public health organizations and government agencies responsible for promoting and overseeing dental health initiatives in a region may require the services and guidance provided by the office of oral health. This helps in developing and implementing policies, programs, and strategies aimed at improving oral health outcomes for the population.
Fill
form
: Try Risk Free
For pdfFiller’s FAQs
Below is a list of the most common customer questions. If you can’t find an answer to your question, please don’t hesitate to reach out to us.
Where do I find office of oral health?
The premium pdfFiller subscription gives you access to over 25M fillable templates that you can download, fill out, print, and sign. The library has state-specific office of oral health and other forms. Find the template you need and change it using powerful tools.
How do I execute office of oral health online?
Completing and signing office of oral health online is easy with pdfFiller. It enables you to edit original PDF content, highlight, blackout, erase and type text anywhere on a page, legally eSign your form, and much more. Create your free account and manage professional documents on the web.
How do I fill out the office of oral health form on my smartphone?
You can quickly make and fill out legal forms with the help of the pdfFiller app on your phone. Complete and sign office of oral health and other documents on your mobile device using the application. If you want to learn more about how the PDF editor works, go to pdfFiller.com.
Fill out your office of oral health online with pdfFiller!
pdfFiller is an end-to-end solution for managing, creating, and editing documents and forms in the cloud. Save time and hassle by preparing your tax forms online.

Office Of Oral Health is not the form you're looking for?Search for another form here.
Relevant keywords
Related Forms
If you believe that this page should be taken down, please follow our DMCA take down process
here
.
This form may include fields for payment information. Data entered in these fields is not covered by PCI DSS compliance.