
Get the free Conduct Meeting Form - Respondent (Organization).docx - studentdevelopment lafayette
Show details
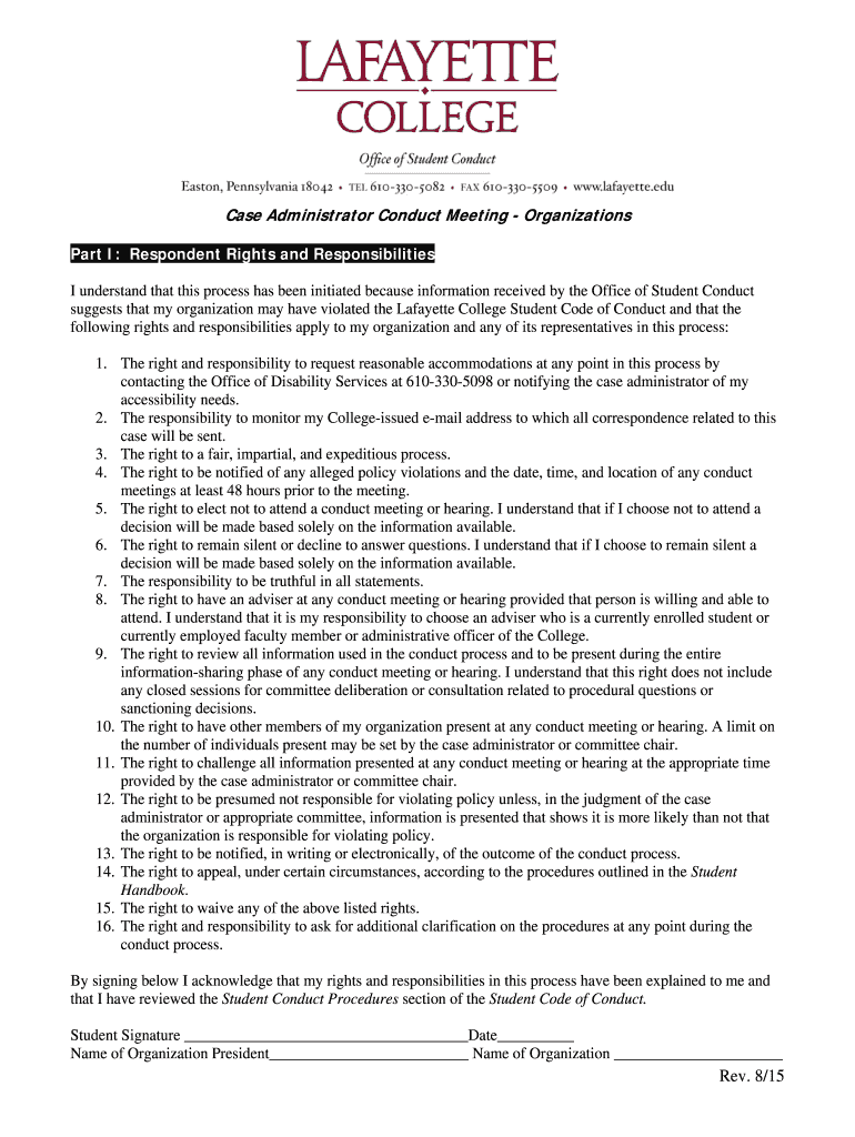
Case Administrator Conduct Meeting Organizations Part I: Respondent Rights and Responsibilities I understand that this process has been initiated because information received by the Office of Student
We are not affiliated with any brand or entity on this form
Get, Create, Make and Sign conduct meeting form

Edit your conduct meeting form form online
Type text, complete fillable fields, insert images, highlight or blackout data for discretion, add comments, and more.

Add your legally-binding signature
Draw or type your signature, upload a signature image, or capture it with your digital camera.

Share your form instantly
Email, fax, or share your conduct meeting form form via URL. You can also download, print, or export forms to your preferred cloud storage service.
How to edit conduct meeting form online
To use the services of a skilled PDF editor, follow these steps below:
1
Register the account. Begin by clicking Start Free Trial and create a profile if you are a new user.
2
Upload a document. Select Add New on your Dashboard and transfer a file into the system in one of the following ways: by uploading it from your device or importing from the cloud, web, or internal mail. Then, click Start editing.
3
Edit conduct meeting form. Add and replace text, insert new objects, rearrange pages, add watermarks and page numbers, and more. Click Done when you are finished editing and go to the Documents tab to merge, split, lock or unlock the file.
4
Save your file. Select it from your records list. Then, click the right toolbar and select one of the various exporting options: save in numerous formats, download as PDF, email, or cloud.
The use of pdfFiller makes dealing with documents straightforward.
Uncompromising security for your PDF editing and eSignature needs
Your private information is safe with pdfFiller. We employ end-to-end encryption, secure cloud storage, and advanced access control to protect your documents and maintain regulatory compliance.
How to fill out conduct meeting form

How to fill out a conduct meeting form:
01
Begin by entering the date and time of the meeting at the top of the form.
02
Write down the location of the meeting, ensuring it is a suitable and private space for conducting the discussion.
03
List the attendees who will be present at the meeting, including any observers or note-takers.
04
State the purpose of the meeting clearly, outlining the issues or concerns that need to be addressed.
05
Provide a brief description of the conduct violations or incidents that have led to the meeting, giving enough detail for everyone to understand the context.
06
Leave space to document the discussion points and resolutions reached during the meeting.
07
Include a section for any additional notes or comments that may be relevant to the meeting.
08
At the end of the form, leave space for all participants to sign their names and provide the date of the meeting.
Who needs a conduct meeting form:
01
Employers or Human Resources departments may require conduct meeting forms to address employee behavior or performance issues.
02
Schools or educational institutions may use conduct meeting forms to address disciplinary issues involving students.
03
Organizations or clubs may utilize conduct meeting forms to address member misconduct or rule violations.
Fill
form
: Try Risk Free
For pdfFiller’s FAQs
Below is a list of the most common customer questions. If you can’t find an answer to your question, please don’t hesitate to reach out to us.
How can I manage my conduct meeting form directly from Gmail?
pdfFiller’s add-on for Gmail enables you to create, edit, fill out and eSign your conduct meeting form and any other documents you receive right in your inbox. Visit Google Workspace Marketplace and install pdfFiller for Gmail. Get rid of time-consuming steps and manage your documents and eSignatures effortlessly.
How can I get conduct meeting form?
The premium version of pdfFiller gives you access to a huge library of fillable forms (more than 25 million fillable templates). You can download, fill out, print, and sign them all. State-specific conduct meeting form and other forms will be easy to find in the library. Find the template you need and use advanced editing tools to make it your own.
Can I edit conduct meeting form on an iOS device?
Yes, you can. With the pdfFiller mobile app, you can instantly edit, share, and sign conduct meeting form on your iOS device. Get it at the Apple Store and install it in seconds. The application is free, but you will have to create an account to purchase a subscription or activate a free trial.
What is conduct meeting form?
The conduct meeting form is a document used to record details of a meeting discussing behavior or performance related issues.
Who is required to file conduct meeting form?
The employer or HR department is required to file the conduct meeting form after conducting a meeting with an employee regarding behavior or performance issues.
How to fill out conduct meeting form?
The conduct meeting form should be filled out by providing details of the meeting, including date, time, location, attendees, issues discussed, outcomes, and action plans.
What is the purpose of conduct meeting form?
The purpose of the conduct meeting form is to document discussions and agreements made during meetings regarding behavior or performance issues.
What information must be reported on conduct meeting form?
The conduct meeting form should include details of the meeting, such as date, time, location, attendees, issues discussed, resolutions, and future action plans.
Fill out your conduct meeting form online with pdfFiller!
pdfFiller is an end-to-end solution for managing, creating, and editing documents and forms in the cloud. Save time and hassle by preparing your tax forms online.

Conduct Meeting Form is not the form you're looking for?Search for another form here.
Relevant keywords
Related Forms
If you believe that this page should be taken down, please follow our DMCA take down process
here
.
This form may include fields for payment information. Data entered in these fields is not covered by PCI DSS compliance.