
Get the free INSTRUCTIONS FOR COMPLETING THE YEAR-END CENSUS PACKET
Show details
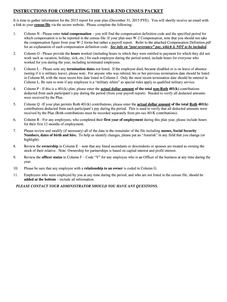
INSTRUCTIONS FOR COMPLETING THE YEAREND CENSUS PACKET It is time to gather information for the 2015 report for your plan (December 31, 2015, BYE). You will shortly receive an email with a link to
We are not affiliated with any brand or entity on this form
Get, Create, Make and Sign instructions for completing form

Edit your instructions for completing form form online
Type text, complete fillable fields, insert images, highlight or blackout data for discretion, add comments, and more.

Add your legally-binding signature
Draw or type your signature, upload a signature image, or capture it with your digital camera.

Share your form instantly
Email, fax, or share your instructions for completing form form via URL. You can also download, print, or export forms to your preferred cloud storage service.
Editing instructions for completing form online
To use our professional PDF editor, follow these steps:
1
Log in. Click Start Free Trial and create a profile if necessary.
2
Prepare a file. Use the Add New button. Then upload your file to the system from your device, importing it from internal mail, the cloud, or by adding its URL.
3
Edit instructions for completing form. Replace text, adding objects, rearranging pages, and more. Then select the Documents tab to combine, divide, lock or unlock the file.
4
Save your file. Select it from your list of records. Then, move your cursor to the right toolbar and choose one of the exporting options. You can save it in multiple formats, download it as a PDF, send it by email, or store it in the cloud, among other things.
It's easier to work with documents with pdfFiller than you could have ever thought. Sign up for a free account to view.
Uncompromising security for your PDF editing and eSignature needs
Your private information is safe with pdfFiller. We employ end-to-end encryption, secure cloud storage, and advanced access control to protect your documents and maintain regulatory compliance.
How to fill out instructions for completing form

Instructions for completing a form:
01
Start by carefully reading through the instructions provided on the form. Make sure you understand the purpose of the form and the information that is being requested.
02
Gather all the necessary documents and information that you will need to complete the form. This may include identification documents, proof of address, or other supporting materials.
03
Begin filling out the form by providing your personal information accurately. This typically includes your full name, address, contact details, and any other relevant details as requested.
04
Follow the specific instructions for each section of the form. If there are checkboxes, make sure to tick the appropriate ones that apply to your situation. Use clear and legible handwriting or type if the form allows.
05
Pay attention to any specific formats or guidelines for entering dates, numbers, or other information. This will help ensure accuracy and prevent any confusion.
06
If there are any sections that you are unsure about or require further clarification, refer to the accompanying instructions or seek assistance from someone knowledgeable, such as a government agency representative or a supervisor.
07
Double-check all the information you have entered before submitting the form. Review for any errors or omissions, and make any necessary corrections.
08
If the form requires supporting documents, make sure to attach them securely. Use staples or paperclips as instructed, and ensure that all attachments are clearly labeled and go with the corresponding sections of the form.
09
Finally, sign and date the form as required. Some forms may require additional signatures from witnesses or notaries, so be sure to follow these instructions accordingly.
10
Anyone who needs to complete a form, regardless of their background or occupation, may require instructions. This includes individuals applying for jobs, filling out government forms, financial or legal documents, or any other situation where a form must be completed accurately and efficiently. Instructions can benefit both experienced individuals who require clarity on specific form requirements and newcomers who are unfamiliar with the process. The purpose of instructions is to guide individuals through the form-filling process, provide clarifications, and ensure that all necessary information is provided to complete the form accurately.
Fill
form
: Try Risk Free
For pdfFiller’s FAQs
Below is a list of the most common customer questions. If you can’t find an answer to your question, please don’t hesitate to reach out to us.
How do I make edits in instructions for completing form without leaving Chrome?
Install the pdfFiller Google Chrome Extension to edit instructions for completing form and other documents straight from Google search results. When reading documents in Chrome, you may edit them. Create fillable PDFs and update existing PDFs using pdfFiller.
How do I edit instructions for completing form on an iOS device?
Use the pdfFiller mobile app to create, edit, and share instructions for completing form from your iOS device. Install it from the Apple Store in seconds. You can benefit from a free trial and choose a subscription that suits your needs.
How do I complete instructions for completing form on an iOS device?
Install the pdfFiller app on your iOS device to fill out papers. If you have a subscription to the service, create an account or log in to an existing one. After completing the registration process, upload your instructions for completing form. You may now use pdfFiller's advanced features, such as adding fillable fields and eSigning documents, and accessing them from any device, wherever you are.
What is instructions for completing form?
Instructions for completing form provide guidance on how to properly fill out a form.
Who is required to file instructions for completing form?
The entity or individual responsible for filling out the form is required to file instructions for completing form.
How to fill out instructions for completing form?
Instructions for completing form can be filled out by following the step-by-step guidelines provided in the form.
What is the purpose of instructions for completing form?
The purpose of instructions for completing form is to ensure that the form is completed accurately and in compliance with regulations.
What information must be reported on instructions for completing form?
Instructions for completing form must include details on how to properly fill out each section of the form.
Fill out your instructions for completing form online with pdfFiller!
pdfFiller is an end-to-end solution for managing, creating, and editing documents and forms in the cloud. Save time and hassle by preparing your tax forms online.

Instructions For Completing Form is not the form you're looking for?Search for another form here.
Relevant keywords
Related Forms
If you believe that this page should be taken down, please follow our DMCA take down process
here
.
This form may include fields for payment information. Data entered in these fields is not covered by PCI DSS compliance.