Get the free Position: HR Generalist - nrmcinc
Show details
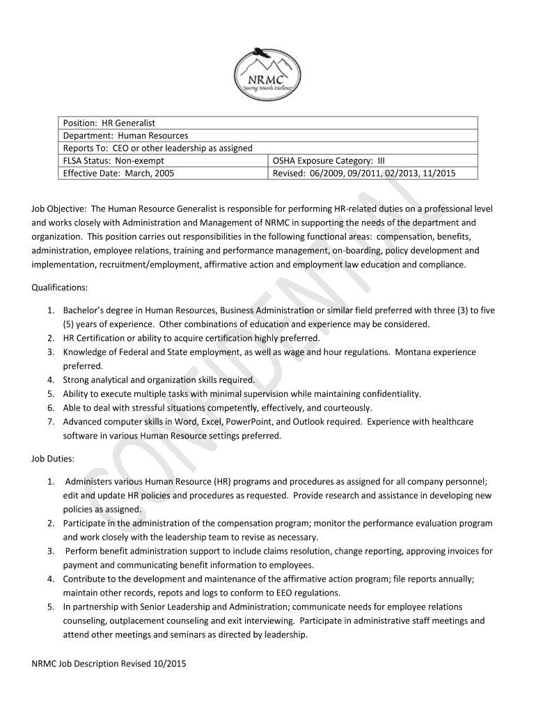
Position: HR Generalist Department: Human Resources Reports To: CEO or other leadership as assigned FLEA Status: Nonexempt Effective Date: March 2005 OSHA Exposure Category: III Revised: 06/2009,
We are not affiliated with any brand or entity on this form
Get, Create, Make and Sign position hr generalist
Edit your position hr generalist form online
Type text, complete fillable fields, insert images, highlight or blackout data for discretion, add comments, and more.
Add your legally-binding signature
Draw or type your signature, upload a signature image, or capture it with your digital camera.
Share your form instantly
Email, fax, or share your position hr generalist form via URL. You can also download, print, or export forms to your preferred cloud storage service.
How to edit position hr generalist online
To use our professional PDF editor, follow these steps:
1
Create an account. Begin by choosing Start Free Trial and, if you are a new user, establish a profile.
2
Upload a document. Select Add New on your Dashboard and transfer a file into the system in one of the following ways: by uploading it from your device or importing from the cloud, web, or internal mail. Then, click Start editing.
3
Edit position hr generalist. Replace text, adding objects, rearranging pages, and more. Then select the Documents tab to combine, divide, lock or unlock the file.
4
Get your file. When you find your file in the docs list, click on its name and choose how you want to save it. To get the PDF, you can save it, send an email with it, or move it to the cloud.
pdfFiller makes working with documents easier than you could ever imagine. Register for an account and see for yourself!
Uncompromising security for your PDF editing and eSignature needs
Your private information is safe with pdfFiller. We employ end-to-end encryption, secure cloud storage, and advanced access control to protect your documents and maintain regulatory compliance.
How to fill out position hr generalist
How to fill out position HR generalist:
01
Understand the job requirements: Familiarize yourself with the key responsibilities and skills required for the HR generalist position. This may include tasks such as recruitment, training and development, employee relations, and payroll administration.
02
Update your resume: Tailor your resume to highlight your relevant HR experience, skills, and qualifications. Include any certifications or HR-related courses you have completed.
03
Craft a compelling cover letter: Write a cover letter that showcases your interest in the HR generalist position and demonstrates how your skills align with the role. Highlight any relevant HR experiences or achievements.
04
Research the company: Learn about the organization you are applying to. Understand their industry, values, and culture. This information can help you tailor your application to the company's specific needs.
05
Prepare for the interview: Study common HR interview questions and prepare thoughtful responses. Research the company's HR practices and be prepared to discuss how you can contribute to their HR strategy.
06
Demonstrate your HR knowledge and skills: During the interview, showcase your understanding of HR best practices, employment laws, and industry trends. Provide examples of how you have successfully handled HR challenges in the past.
07
Showcase your interpersonal skills: HR generalists often need strong communication and relationship-building skills. Demonstrate your ability to work well with others, resolve conflicts, and build rapport.
Who needs position HR generalist:
01
Small to medium-sized companies: HR generalists are often hired by small to medium-sized companies that may not have the resources for specialized HR roles. These companies rely on HR generalists to handle a wide range of HR functions.
02
Startups: Startups in particular may benefit from hiring HR generalists who can handle various HR tasks while the company grows.
03
Companies with decentralized HR departments: Organizations with multiple locations or divisions may need HR generalists to provide HR support across the company.
04
Companies experiencing growth or restructuring: During periods of expansion or restructuring, companies often require HR generalists to assist with recruitment, training, and HR processes.
05
Companies with a strong focus on employee engagement: Organizations that prioritize employee engagement and well-being may hire HR generalists to oversee employee relations, training programs, and benefits administration.
Fill
form
: Try Risk Free
For pdfFiller’s FAQs
Below is a list of the most common customer questions. If you can’t find an answer to your question, please don’t hesitate to reach out to us.
How can I manage my position hr generalist directly from Gmail?
pdfFiller’s add-on for Gmail enables you to create, edit, fill out and eSign your position hr generalist and any other documents you receive right in your inbox. Visit Google Workspace Marketplace and install pdfFiller for Gmail. Get rid of time-consuming steps and manage your documents and eSignatures effortlessly.
How do I edit position hr generalist on an Android device?
You can make any changes to PDF files, such as position hr generalist, with the help of the pdfFiller mobile app for Android. Edit, sign, and send documents right from your mobile device. Install the app and streamline your document management wherever you are.
How do I fill out position hr generalist on an Android device?
Use the pdfFiller mobile app to complete your position hr generalist on an Android device. The application makes it possible to perform all needed document management manipulations, like adding, editing, and removing text, signing, annotating, and more. All you need is your smartphone and an internet connection.
What is position hr generalist?
The position of HR Generalist is responsible for providing support in various HR functions such as recruitment, employee relations, training, and performance management.
Who is required to file position hr generalist?
Organizations looking to hire or promote HR Generalists are required to file the position HR Generalist.
How to fill out position hr generalist?
To fill out the position HR Generalist, organizations need to provide details about the job responsibilities, qualifications, and any specific requirements.
What is the purpose of position hr generalist?
The purpose of the position HR Generalist is to ensure smooth functioning of HR processes and support the organization in managing its workforce effectively.
What information must be reported on position hr generalist?
Information such as job description, qualifications, responsibilities, reporting structure, and any special requirements must be reported on the position HR Generalist.
Fill out your position hr generalist online with pdfFiller!
pdfFiller is an end-to-end solution for managing, creating, and editing documents and forms in the cloud. Save time and hassle by preparing your tax forms online.
Position Hr Generalist is not the form you're looking for?Search for another form here.
Relevant keywords
Related Forms
If you believe that this page should be taken down, please follow our DMCA take down process
here
.
This form may include fields for payment information. Data entered in these fields is not covered by PCI DSS compliance.