
Get the free PRACTITIONER LETTER OF INTENT for CMS MOQI Phase 2
Show details
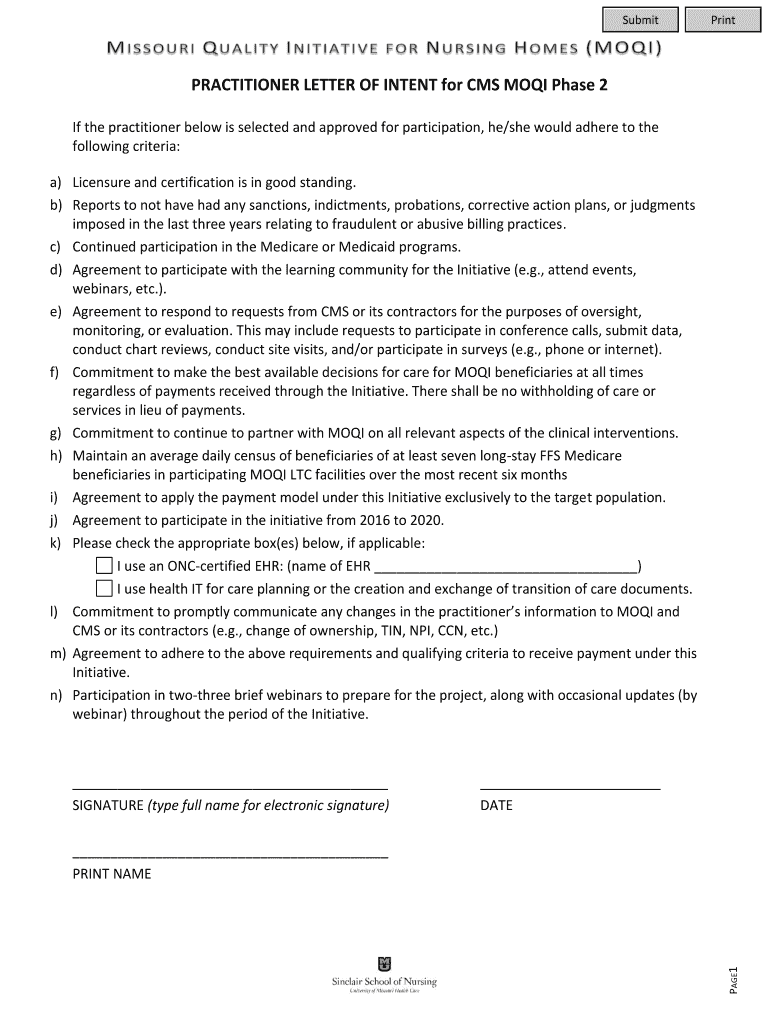
AGE P 1 PRACTITIONER LETTER OF INTENT for CMS MOI Phase 2 If the practitioner below is selected and approved for participation, he/she would adhere to the
We are not affiliated with any brand or entity on this form
Get, Create, Make and Sign practitioner letter of intent

Edit your practitioner letter of intent form online
Type text, complete fillable fields, insert images, highlight or blackout data for discretion, add comments, and more.

Add your legally-binding signature
Draw or type your signature, upload a signature image, or capture it with your digital camera.

Share your form instantly
Email, fax, or share your practitioner letter of intent form via URL. You can also download, print, or export forms to your preferred cloud storage service.
Editing practitioner letter of intent online
To use our professional PDF editor, follow these steps:
1
Check your account. In case you're new, it's time to start your free trial.
2
Prepare a file. Use the Add New button to start a new project. Then, using your device, upload your file to the system by importing it from internal mail, the cloud, or adding its URL.
3
Edit practitioner letter of intent. Add and change text, add new objects, move pages, add watermarks and page numbers, and more. Then click Done when you're done editing and go to the Documents tab to merge or split the file. If you want to lock or unlock the file, click the lock or unlock button.
4
Save your file. Select it from your list of records. Then, move your cursor to the right toolbar and choose one of the exporting options. You can save it in multiple formats, download it as a PDF, send it by email, or store it in the cloud, among other things.
The use of pdfFiller makes dealing with documents straightforward.
Uncompromising security for your PDF editing and eSignature needs
Your private information is safe with pdfFiller. We employ end-to-end encryption, secure cloud storage, and advanced access control to protect your documents and maintain regulatory compliance.
How to fill out practitioner letter of intent

How to fill out practitioner letter of intent:
01
Begin by addressing the intended recipient of the letter. This could be a specific organization or individual.
02
Introduce yourself and provide a brief background about your qualifications and experience as a practitioner in the relevant field.
03
Clearly state your intent in the opening paragraph of the letter. Explain why you are writing the letter and what you hope to achieve with it.
04
Provide specific details about your goals or objectives as a practitioner. Discuss any specific projects or areas of expertise that you would like to focus on.
05
Explain how your skills and experience align with the goals and objectives of the organization or individual you are writing to. Highlight any relevant achievements or qualifications.
06
In the next paragraph, outline the specific steps or actions you plan to take in order to achieve your goals. This could include conducting research, attending workshops or conferences, or collaborating with other practitioners.
07
Discuss any previous experience or partnerships you have had in the field that could be beneficial to your goals as a practitioner.
08
Conclude the letter by summarizing your key points and reiterating your commitment to achieving your goals. Thank the recipient for their time and consideration.
09
Sign the letter with your name and contact information.
Who needs practitioner letter of intent:
01
Individuals applying for jobs or internships in their respective fields may need a practitioner letter of intent. This can serve as a formal way of expressing their goals and intentions to potential employers.
02
Students applying for educational programs or scholarships in a specific field may also need a practitioner letter of intent. This letter can demonstrate their passion, dedication, and future plans as a practitioner.
03
Practitioners seeking partnerships, collaborations, or funding for research projects may also be required to submit a letter of intent. This can help communicate their objectives and generate interest in their work.
Fill
form
: Try Risk Free
For pdfFiller’s FAQs
Below is a list of the most common customer questions. If you can’t find an answer to your question, please don’t hesitate to reach out to us.
How can I send practitioner letter of intent to be eSigned by others?
Once your practitioner letter of intent is ready, you can securely share it with recipients and collect eSignatures in a few clicks with pdfFiller. You can send a PDF by email, text message, fax, USPS mail, or notarize it online - right from your account. Create an account now and try it yourself.
How do I fill out practitioner letter of intent using my mobile device?
You can easily create and fill out legal forms with the help of the pdfFiller mobile app. Complete and sign practitioner letter of intent and other documents on your mobile device using the application. Visit pdfFiller’s webpage to learn more about the functionalities of the PDF editor.
How do I complete practitioner letter of intent on an Android device?
Complete practitioner letter of intent and other documents on your Android device with the pdfFiller app. The software allows you to modify information, eSign, annotate, and share files. You may view your papers from anywhere with an internet connection.
What is practitioner letter of intent?
Practitioner letter of intent is a document submitted by a practitioner expressing their intent to participate in a specific program or activity.
Who is required to file practitioner letter of intent?
Practitioners who wish to participate in the program or activity are required to file practitioner letter of intent.
How to fill out practitioner letter of intent?
Practitioner letter of intent can be filled out by providing necessary information such as contact details, qualifications, and purpose of participation.
What is the purpose of practitioner letter of intent?
The purpose of practitioner letter of intent is to inform the organizers of the program or activity about the practitioner's interest and intent to participate.
What information must be reported on practitioner letter of intent?
Practitioner letter of intent must include the practitioner's name, contact information, qualifications, and reasons for wanting to participate.
Fill out your practitioner letter of intent online with pdfFiller!
pdfFiller is an end-to-end solution for managing, creating, and editing documents and forms in the cloud. Save time and hassle by preparing your tax forms online.

Practitioner Letter Of Intent is not the form you're looking for?Search for another form here.
Relevant keywords
Related Forms
If you believe that this page should be taken down, please follow our DMCA take down process
here
.
This form may include fields for payment information. Data entered in these fields is not covered by PCI DSS compliance.