Get the free By execution of this document, I acknowledge that I have been informed by Edward s H...
Show details
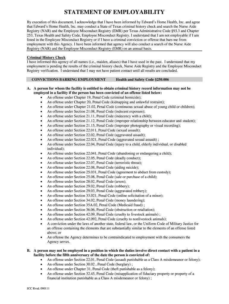
STATEMENT OF EMPLOYABILITY
By execution of this document, I acknowledge that I have been informed by Edwards Home Health, Inc. and agree
that Edwards Home Health, Inc. may conduct a State of Texas
We are not affiliated with any brand or entity on this form
Get, Create, Make and Sign by execution of this
Edit your by execution of this form online
Type text, complete fillable fields, insert images, highlight or blackout data for discretion, add comments, and more.
Add your legally-binding signature
Draw or type your signature, upload a signature image, or capture it with your digital camera.
Share your form instantly
Email, fax, or share your by execution of this form via URL. You can also download, print, or export forms to your preferred cloud storage service.
Editing by execution of this online
Here are the steps you need to follow to get started with our professional PDF editor:
1
Log in. Click Start Free Trial and create a profile if necessary.
2
Simply add a document. Select Add New from your Dashboard and import a file into the system by uploading it from your device or importing it via the cloud, online, or internal mail. Then click Begin editing.
3
Edit by execution of this. Replace text, adding objects, rearranging pages, and more. Then select the Documents tab to combine, divide, lock or unlock the file.
4
Save your file. Select it in the list of your records. Then, move the cursor to the right toolbar and choose one of the available exporting methods: save it in multiple formats, download it as a PDF, send it by email, or store it in the cloud.
With pdfFiller, it's always easy to work with documents. Try it!
Uncompromising security for your PDF editing and eSignature needs
Your private information is safe with pdfFiller. We employ end-to-end encryption, secure cloud storage, and advanced access control to protect your documents and maintain regulatory compliance.
Fill
form
: Try Risk Free
For pdfFiller’s FAQs
Below is a list of the most common customer questions. If you can’t find an answer to your question, please don’t hesitate to reach out to us.
How can I get by execution of this?
It’s easy with pdfFiller, a comprehensive online solution for professional document management. Access our extensive library of online forms (over 25M fillable forms are available) and locate the by execution of this in a matter of seconds. Open it right away and start customizing it using advanced editing features.
How do I make edits in by execution of this without leaving Chrome?
Get and add pdfFiller Google Chrome Extension to your browser to edit, fill out and eSign your by execution of this, which you can open in the editor directly from a Google search page in just one click. Execute your fillable documents from any internet-connected device without leaving Chrome.
How do I edit by execution of this straight from my smartphone?
You can do so easily with pdfFiller’s applications for iOS and Android devices, which can be found at the Apple Store and Google Play Store, respectively. Alternatively, you can get the app on our web page: https://edit-pdf-ios-android.pdffiller.com/. Install the application, log in, and start editing by execution of this right away.
What is by execution of this?
By execution of this refers to the process of carrying out a particular action or task.
Who is required to file by execution of this?
The individual or entity responsible for completing the task at hand is required to file by execution of this.
How to fill out by execution of this?
To fill out by execution of this, one must follow the specific instructions provided for the task.
What is the purpose of by execution of this?
The purpose of by execution of this is to ensure that a particular task or action is completed accurately and on time.
What information must be reported on by execution of this?
The specific information required to be reported by execution of this will depend on the nature of the task at hand.
Fill out your by execution of this online with pdfFiller!
pdfFiller is an end-to-end solution for managing, creating, and editing documents and forms in the cloud. Save time and hassle by preparing your tax forms online.
By Execution Of This is not the form you're looking for?Search for another form here.
Relevant keywords
Related Forms
If you believe that this page should be taken down, please follow our DMCA take down process
here
.
This form may include fields for payment information. Data entered in these fields is not covered by PCI DSS compliance.