Get the free Mass Arbitration Cancellation Checklist.pub
Show details
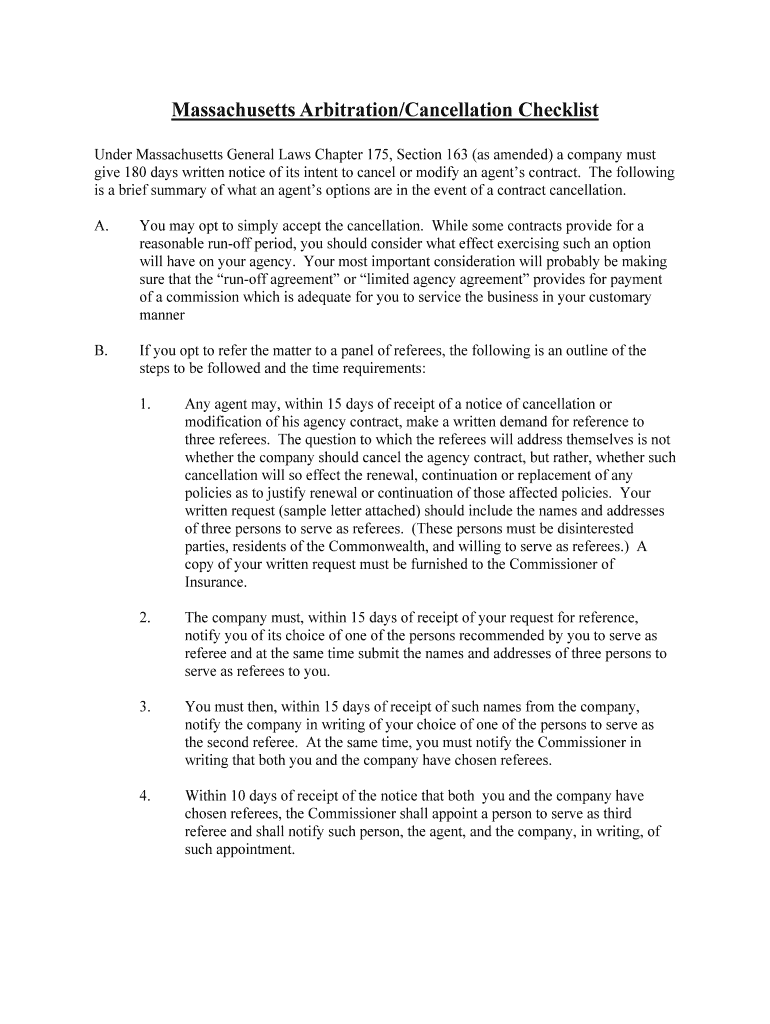
Massachusetts Arbitration/Cancellation Checklist Under Massachusetts General Laws Chapter 175, Section 163 (as amended) a company must give 180 days written notice of its intent to cancel or modify
We are not affiliated with any brand or entity on this form
Get, Create, Make and Sign mass arbitration cancellation checklistpub
Edit your mass arbitration cancellation checklistpub form online
Type text, complete fillable fields, insert images, highlight or blackout data for discretion, add comments, and more.
Add your legally-binding signature
Draw or type your signature, upload a signature image, or capture it with your digital camera.
Share your form instantly
Email, fax, or share your mass arbitration cancellation checklistpub form via URL. You can also download, print, or export forms to your preferred cloud storage service.
How to edit mass arbitration cancellation checklistpub online
Use the instructions below to start using our professional PDF editor:
1
Create an account. Begin by choosing Start Free Trial and, if you are a new user, establish a profile.
2
Upload a file. Select Add New on your Dashboard and upload a file from your device or import it from the cloud, online, or internal mail. Then click Edit.
3
Edit mass arbitration cancellation checklistpub. Rearrange and rotate pages, insert new and alter existing texts, add new objects, and take advantage of other helpful tools. Click Done to apply changes and return to your Dashboard. Go to the Documents tab to access merging, splitting, locking, or unlocking functions.
4
Save your file. Select it from your list of records. Then, move your cursor to the right toolbar and choose one of the exporting options. You can save it in multiple formats, download it as a PDF, send it by email, or store it in the cloud, among other things.
pdfFiller makes working with documents easier than you could ever imagine. Try it for yourself by creating an account!
Uncompromising security for your PDF editing and eSignature needs
Your private information is safe with pdfFiller. We employ end-to-end encryption, secure cloud storage, and advanced access control to protect your documents and maintain regulatory compliance.
How to fill out mass arbitration cancellation checklistpub
How to fill out mass arbitration cancellation checklistpub
01
Firstly, obtain a copy of the mass arbitration cancellation checklistpub form.
02
Read through the instructions provided with the form to understand its purpose and requirements.
03
Carefully review your arbitration agreements to identify the cases to be canceled using this checklistpub.
04
List down the necessary information for each case, such as the case number, parties involved, and other relevant details.
05
Fill out the checklistpub form accurately and legibly, providing all the requested information for each case.
06
Double-check your entries to ensure accuracy and completeness.
07
Once all the required cases have been listed and filled out in the checklistpub form, make a copy of the completed form for your records.
08
Submit the original checklistpub form to the appropriate entity or organization as instructed, following any additional submission requirements if specified.
09
Keep a record or proof of submission for reference or future inquiries.
10
In case of any doubts or uncertainties, seek legal advice or assistance.
Who needs mass arbitration cancellation checklistpub?
01
Individuals or businesses who wish to cancel mass arbitration cases can utilize the mass arbitration cancellation checklistpub.
02
Employers who want to withdraw multiple arbitration cases filed against employees can benefit from using this checklistpub.
03
Law firms or legal professionals dealing with a high volume of arbitration cases may find the checklistpub useful for efficient cancellation procedures.
04
Anyone involved in multiple arbitration cases and seeking a standardized process to cancel such cases can employ the checklistpub.
05
It can be used by both plaintiffs and defendants in arbitration cases seeking cancellation of multiple cases.
06
Organizations or entities that regularly deal with arbitration cases and require a streamlined cancellation process can make use of this checklistpub.
Fill
form
: Try Risk Free
For pdfFiller’s FAQs
Below is a list of the most common customer questions. If you can’t find an answer to your question, please don’t hesitate to reach out to us.
How can I manage my mass arbitration cancellation checklistpub directly from Gmail?
The pdfFiller Gmail add-on lets you create, modify, fill out, and sign mass arbitration cancellation checklistpub and other documents directly in your email. Click here to get pdfFiller for Gmail. Eliminate tedious procedures and handle papers and eSignatures easily.
How do I fill out the mass arbitration cancellation checklistpub form on my smartphone?
The pdfFiller mobile app makes it simple to design and fill out legal paperwork. Complete and sign mass arbitration cancellation checklistpub and other papers using the app. Visit pdfFiller's website to learn more about the PDF editor's features.
How do I edit mass arbitration cancellation checklistpub on an Android device?
You can make any changes to PDF files, such as mass arbitration cancellation checklistpub, with the help of the pdfFiller mobile app for Android. Edit, sign, and send documents right from your mobile device. Install the app and streamline your document management wherever you are.
What is mass arbitration cancellation checklistpub?
Mass arbitration cancellation checklistpub is a document used to cancel arbitration proceedings involving multiple claims or parties.
Who is required to file mass arbitration cancellation checklistpub?
The party initiating the cancellation of arbitration proceedings is required to file the mass arbitration cancellation checklistpub.
How to fill out mass arbitration cancellation checklistpub?
Mass arbitration cancellation checklistpub should be filled out by providing relevant information about the arbitration proceedings being cancelled.
What is the purpose of mass arbitration cancellation checklistpub?
The purpose of mass arbitration cancellation checklistpub is to officially cancel arbitration proceedings involving multiple claims or parties.
What information must be reported on mass arbitration cancellation checklistpub?
Information such as case details, parties involved, reasons for cancellation, and any relevant dates must be reported on mass arbitration cancellation checklistpub.
Fill out your mass arbitration cancellation checklistpub online with pdfFiller!
pdfFiller is an end-to-end solution for managing, creating, and editing documents and forms in the cloud. Save time and hassle by preparing your tax forms online.
Mass Arbitration Cancellation Checklistpub is not the form you're looking for?Search for another form here.
Relevant keywords
Related Forms
If you believe that this page should be taken down, please follow our DMCA take down process
here
.
This form may include fields for payment information. Data entered in these fields is not covered by PCI DSS compliance.