Get the free Conduct Meeting Form - Respondent (Students).docx - studentdevelopment lafayette
Show details
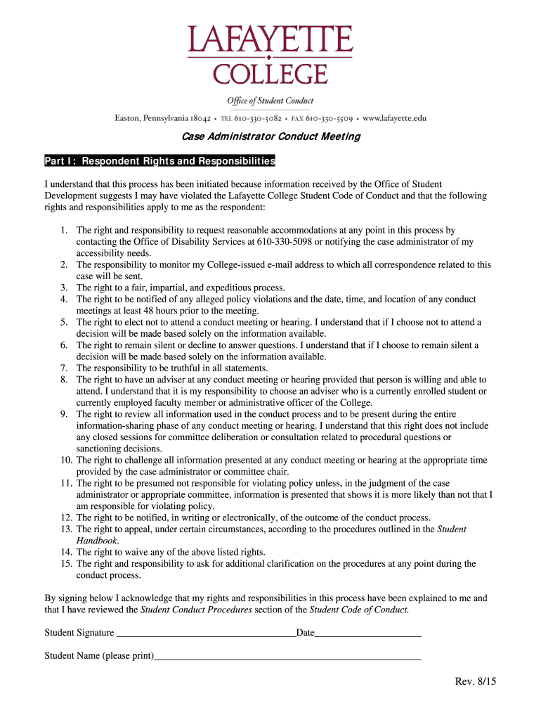
Case Administrator Conduct Meeting
Part I: Respondent Rights and Responsibilities
I understand that this process has been initiated because information received by the Office of Student
Development
We are not affiliated with any brand or entity on this form
Get, Create, Make and Sign conduct meeting form
Edit your conduct meeting form form online
Type text, complete fillable fields, insert images, highlight or blackout data for discretion, add comments, and more.
Add your legally-binding signature
Draw or type your signature, upload a signature image, or capture it with your digital camera.
Share your form instantly
Email, fax, or share your conduct meeting form form via URL. You can also download, print, or export forms to your preferred cloud storage service.
How to edit conduct meeting form online
To use our professional PDF editor, follow these steps:
1
Set up an account. If you are a new user, click Start Free Trial and establish a profile.
2
Prepare a file. Use the Add New button to start a new project. Then, using your device, upload your file to the system by importing it from internal mail, the cloud, or adding its URL.
3
Edit conduct meeting form. Rearrange and rotate pages, add new and changed texts, add new objects, and use other useful tools. When you're done, click Done. You can use the Documents tab to merge, split, lock, or unlock your files.
4
Get your file. Select the name of your file in the docs list and choose your preferred exporting method. You can download it as a PDF, save it in another format, send it by email, or transfer it to the cloud.
Dealing with documents is always simple with pdfFiller.
Uncompromising security for your PDF editing and eSignature needs
Your private information is safe with pdfFiller. We employ end-to-end encryption, secure cloud storage, and advanced access control to protect your documents and maintain regulatory compliance.
How to fill out conduct meeting form
How to fill out conduct meeting form
01
Start by downloading the conduct meeting form from the given source.
02
Read the instructions and understand the purpose of the form.
03
Fill in the date and time of the meeting.
04
Provide the names and titles of all attendees.
05
Fill in the agenda items to be discussed during the meeting.
06
Document any decisions or actions agreed upon during the meeting.
07
Ask all participants to sign the form to indicate their attendance.
08
Submit the completed form to the designated person or department.
Who needs conduct meeting form?
01
Any organization or company that conducts meetings can benefit from using a conduct meeting form.
02
It can be used by project managers, team leaders, or any individual responsible for organizing meetings.
03
The form ensures proper documentation and record-keeping of meetings, which can be useful for legal and accountability purposes.
04
It helps in facilitating effective communication, tracking progress, and ensuring all attendees are well-informed about the meeting's purpose and agenda.
Fill
form
: Try Risk Free
For pdfFiller’s FAQs
Below is a list of the most common customer questions. If you can’t find an answer to your question, please don’t hesitate to reach out to us.
How can I manage my conduct meeting form directly from Gmail?
Using pdfFiller's Gmail add-on, you can edit, fill out, and sign your conduct meeting form and other papers directly in your email. You may get it through Google Workspace Marketplace. Make better use of your time by handling your papers and eSignatures.
Can I create an electronic signature for the conduct meeting form in Chrome?
Yes. By adding the solution to your Chrome browser, you can use pdfFiller to eSign documents and enjoy all of the features of the PDF editor in one place. Use the extension to create a legally-binding eSignature by drawing it, typing it, or uploading a picture of your handwritten signature. Whatever you choose, you will be able to eSign your conduct meeting form in seconds.
How do I fill out conduct meeting form using my mobile device?
On your mobile device, use the pdfFiller mobile app to complete and sign conduct meeting form. Visit our website (https://edit-pdf-ios-android.pdffiller.com/) to discover more about our mobile applications, the features you'll have access to, and how to get started.
What is conduct meeting form?
The conduct meeting form is a document used to report information about meetings held to discuss behavior or performance issues within an organization.
Who is required to file conduct meeting form?
Employees who conduct meetings to address behavior or performance issues are required to file the conduct meeting form.
How to fill out conduct meeting form?
The conduct meeting form should be filled out with details of the meeting, including date, time, attendees, topics discussed, outcomes, and any follow-up actions.
What is the purpose of conduct meeting form?
The purpose of the conduct meeting form is to document discussions and decisions made during meetings regarding behavior or performance issues.
What information must be reported on conduct meeting form?
The conduct meeting form must include details such as names of attendees, date of the meeting, discussion topics, decisions made, and any follow-up actions.
Fill out your conduct meeting form online with pdfFiller!
pdfFiller is an end-to-end solution for managing, creating, and editing documents and forms in the cloud. Save time and hassle by preparing your tax forms online.
Conduct Meeting Form is not the form you're looking for?Search for another form here.
Relevant keywords
Related Forms
If you believe that this page should be taken down, please follow our DMCA take down process
here
.
This form may include fields for payment information. Data entered in these fields is not covered by PCI DSS compliance.