
Get the free IMED PHD Guidelines and formats - Bharati Vidyapeeth Deemed ... - imed bharatividyap...
Show details
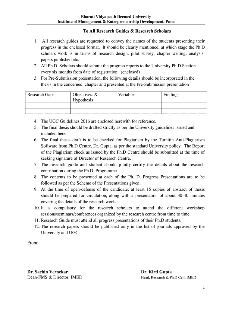
Bharat Vidyapeeth Deemed University Institute of Management & Entrepreneurship Development, Pune To All Research Guides & Research Scholars 1. All research guides are requested to convey the names
We are not affiliated with any brand or entity on this form
Get, Create, Make and Sign imed phd guidelines and

Edit your imed phd guidelines and form online
Type text, complete fillable fields, insert images, highlight or blackout data for discretion, add comments, and more.

Add your legally-binding signature
Draw or type your signature, upload a signature image, or capture it with your digital camera.

Share your form instantly
Email, fax, or share your imed phd guidelines and form via URL. You can also download, print, or export forms to your preferred cloud storage service.
How to edit imed phd guidelines and online
In order to make advantage of the professional PDF editor, follow these steps below:
1
Set up an account. If you are a new user, click Start Free Trial and establish a profile.
2
Prepare a file. Use the Add New button to start a new project. Then, using your device, upload your file to the system by importing it from internal mail, the cloud, or adding its URL.
3
Edit imed phd guidelines and. Rearrange and rotate pages, add new and changed texts, add new objects, and use other useful tools. When you're done, click Done. You can use the Documents tab to merge, split, lock, or unlock your files.
4
Get your file. When you find your file in the docs list, click on its name and choose how you want to save it. To get the PDF, you can save it, send an email with it, or move it to the cloud.
pdfFiller makes dealing with documents a breeze. Create an account to find out!
Uncompromising security for your PDF editing and eSignature needs
Your private information is safe with pdfFiller. We employ end-to-end encryption, secure cloud storage, and advanced access control to protect your documents and maintain regulatory compliance.
How to fill out imed phd guidelines and

How to fill out imed phd guidelines and
01
Step 1: Start by reading through the IMED PhD guidelines carefully to understand the requirements and instructions.
02
Step 2: Begin your application by filling out the personal information section, providing accurate details about yourself.
03
Step 3: Move on to the educational background section and input information about your previous degrees and academic achievements.
04
Step 4: In the research proposal section, elaborate on your desired research topic, objectives, and methodology.
05
Step 5: Complete the financial information section, indicating how you plan to fund your studies and any scholarships or funding you have applied for.
06
Step 6: Include any relevant supporting documents, such as transcripts, letters of recommendation, and a detailed CV.
07
Step 7: Review and double-check all the information you have provided to ensure accuracy and completeness.
08
Step 8: Submit your completed IMED PhD guidelines application form along with all the required documents to the designated authority.
Who needs imed phd guidelines and?
01
Individuals who are interested in pursuing a PhD program and meet the eligibility criteria set forth by IMED.
02
Applicants who wish to conduct advanced research in their field of study and have a keen interest in academic and scientific pursuits.
03
Students who are seeking opportunities for international collaboration and exposure in a multidisciplinary research environment.
04
Those who are looking for financial support or scholarships to finance their PhD studies.
05
Individuals who are passionate about contributing to the development of knowledge and making valuable contributions to their respective fields.
Fill
form
: Try Risk Free
For pdfFiller’s FAQs
Below is a list of the most common customer questions. If you can’t find an answer to your question, please don’t hesitate to reach out to us.
How can I send imed phd guidelines and for eSignature?
When you're ready to share your imed phd guidelines and, you can swiftly email it to others and receive the eSigned document back. You may send your PDF through email, fax, text message, or USPS mail, or you can notarize it online. All of this may be done without ever leaving your account.
How do I execute imed phd guidelines and online?
pdfFiller has made filling out and eSigning imed phd guidelines and easy. The solution is equipped with a set of features that enable you to edit and rearrange PDF content, add fillable fields, and eSign the document. Start a free trial to explore all the capabilities of pdfFiller, the ultimate document editing solution.
How do I edit imed phd guidelines and on an iOS device?
You certainly can. You can quickly edit, distribute, and sign imed phd guidelines and on your iOS device with the pdfFiller mobile app. Purchase it from the Apple Store and install it in seconds. The program is free, but in order to purchase a subscription or activate a free trial, you must first establish an account.
What is imed phd guidelines and?
The IMED PhD guidelines are a set of rules and regulations for the development and submission of research projects in the field of medicine.
Who is required to file imed phd guidelines and?
PhD candidates and researchers working in the medical field are required to file IMED PhD guidelines.
How to fill out imed phd guidelines and?
To fill out IMED PhD guidelines, candidates need to follow the instructions provided in the guidelines document and provide all necessary information about their research project.
What is the purpose of imed phd guidelines and?
The purpose of IMED PhD guidelines is to ensure that research projects in the medical field meet certain standards and are conducted ethically.
What information must be reported on imed phd guidelines and?
Information such as research objectives, methodology, timelines, and budget must be reported on IMED PhD guidelines.
Fill out your imed phd guidelines and online with pdfFiller!
pdfFiller is an end-to-end solution for managing, creating, and editing documents and forms in the cloud. Save time and hassle by preparing your tax forms online.

Imed Phd Guidelines And is not the form you're looking for?Search for another form here.
Relevant keywords
Related Forms
If you believe that this page should be taken down, please follow our DMCA take down process
here
.
This form may include fields for payment information. Data entered in these fields is not covered by PCI DSS compliance.