
Get the free APPROVED PA Criteria
Show details
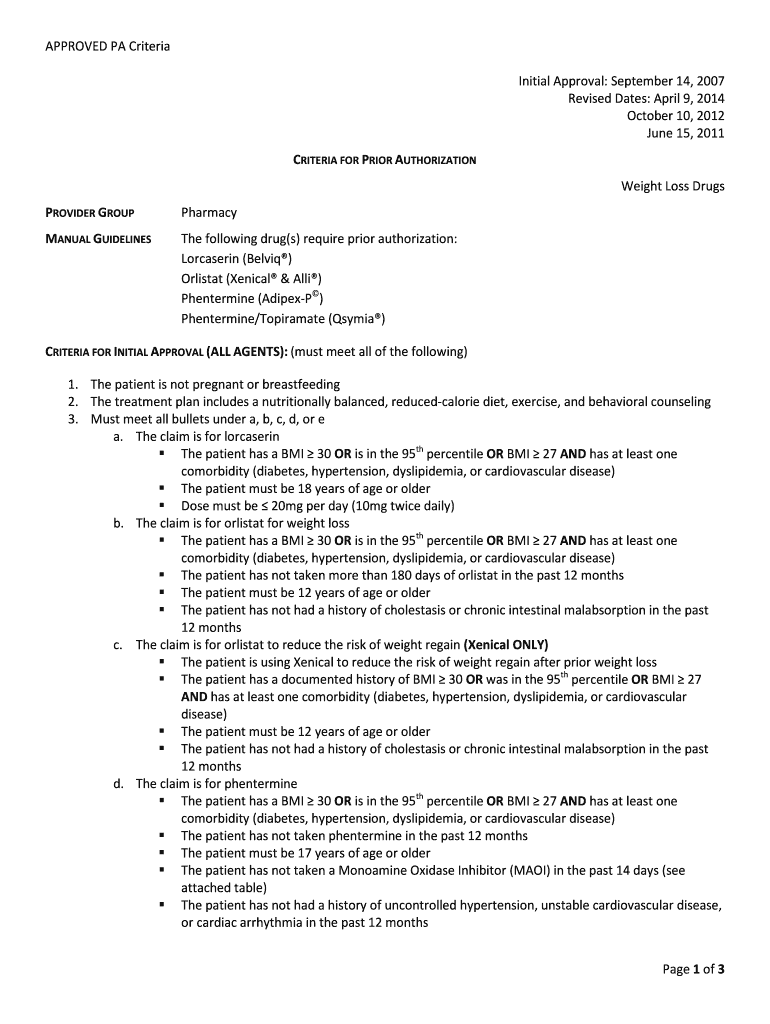
APPROVED PA Criteria
Initial Approval: September 14, 2007,
Revised Dates: April 9, 2014,
October 10, 2012,
June 15, 2011,
CRITERIA FOR PRIOR AUTHORIZATION
Weight Loss Drugs
PROVIDER GROUP
Pharmacy
MANUAL
We are not affiliated with any brand or entity on this form
Get, Create, Make and Sign approved pa criteria

Edit your approved pa criteria form online
Type text, complete fillable fields, insert images, highlight or blackout data for discretion, add comments, and more.

Add your legally-binding signature
Draw or type your signature, upload a signature image, or capture it with your digital camera.

Share your form instantly
Email, fax, or share your approved pa criteria form via URL. You can also download, print, or export forms to your preferred cloud storage service.
How to edit approved pa criteria online
Follow the guidelines below to take advantage of the professional PDF editor:
1
Create an account. Begin by choosing Start Free Trial and, if you are a new user, establish a profile.
2
Prepare a file. Use the Add New button to start a new project. Then, using your device, upload your file to the system by importing it from internal mail, the cloud, or adding its URL.
3
Edit approved pa criteria. Replace text, adding objects, rearranging pages, and more. Then select the Documents tab to combine, divide, lock or unlock the file.
4
Get your file. Select the name of your file in the docs list and choose your preferred exporting method. You can download it as a PDF, save it in another format, send it by email, or transfer it to the cloud.
Dealing with documents is always simple with pdfFiller. Try it right now
Uncompromising security for your PDF editing and eSignature needs
Your private information is safe with pdfFiller. We employ end-to-end encryption, secure cloud storage, and advanced access control to protect your documents and maintain regulatory compliance.
How to fill out approved pa criteria

How to fill out approved pa criteria
01
Step 1: Gather all the necessary information and documentation required to fill out the approved PA criteria.
02
Step 2: Begin by reviewing the approved PA criteria form to understand the specific requirements and guidelines.
03
Step 3: Fill out the form accurately and thoroughly, providing all the requested information.
04
Step 4: Make sure to include any supporting documents or records that may be required to support the PA criteria.
05
Step 5: Double-check the form for any errors or omissions before submitting it.
06
Step 6: Submit the filled-out approved PA criteria form through the designated channel or to the appropriate authority.
07
Step 7: Wait for confirmation or feedback from the relevant authority regarding the approval status.
08
Step 8: If necessary, follow up with the concerned authority to inquire about the progress or status of the PA criteria application.
09
Step 9: Once approved, keep a copy of the approved PA criteria form for future reference or documentation purposes.
Who needs approved pa criteria?
01
Healthcare providers or medical professionals who need to apply for prior authorization for specific treatments, procedures, medications, or medical services.
02
Patients who require certain treatments or medications that require prior authorization before they can be covered by their insurance.
03
Pharmacists or pharmacy technicians who handle prescription medications that require prior authorization before they can be dispensed to patients.
04
Insurance companies or third-party payers who need to assess and approve the necessity and appropriateness of certain healthcare services or treatments based on specific criteria.
Fill
form
: Try Risk Free
For pdfFiller’s FAQs
Below is a list of the most common customer questions. If you can’t find an answer to your question, please don’t hesitate to reach out to us.
How can I get approved pa criteria?
It’s easy with pdfFiller, a comprehensive online solution for professional document management. Access our extensive library of online forms (over 25M fillable forms are available) and locate the approved pa criteria in a matter of seconds. Open it right away and start customizing it using advanced editing features.
How do I edit approved pa criteria online?
pdfFiller not only allows you to edit the content of your files but fully rearrange them by changing the number and sequence of pages. Upload your approved pa criteria to the editor and make any required adjustments in a couple of clicks. The editor enables you to blackout, type, and erase text in PDFs, add images, sticky notes and text boxes, and much more.
How do I complete approved pa criteria on an Android device?
Use the pdfFiller mobile app to complete your approved pa criteria on an Android device. The application makes it possible to perform all needed document management manipulations, like adding, editing, and removing text, signing, annotating, and more. All you need is your smartphone and an internet connection.
What is approved pa criteria?
Approved PA criteria refer to the specific guidelines and requirements that must be met in order for a prior authorization to be approved for a certain medication or treatment.
Who is required to file approved pa criteria?
Healthcare providers or their staff members are required to file or submit the approved PA criteria to the insurance company or pharmacy benefit manager.
How to fill out approved pa criteria?
Approved PA criteria can usually be filled out online through the insurance company's or pharmacy benefit manager's portal. Alternatively, it can be submitted via fax or mail.
What is the purpose of approved pa criteria?
The purpose of approved PA criteria is to ensure that patients receive medications or treatments that are deemed medically necessary and appropriate by following set guidelines and requirements.
What information must be reported on approved pa criteria?
Approved PA criteria typically require information such as patient diagnosis, previous treatments, medication history, and supporting documentation from healthcare providers.
Fill out your approved pa criteria online with pdfFiller!
pdfFiller is an end-to-end solution for managing, creating, and editing documents and forms in the cloud. Save time and hassle by preparing your tax forms online.

Approved Pa Criteria is not the form you're looking for?Search for another form here.
Relevant keywords
Related Forms
If you believe that this page should be taken down, please follow our DMCA take down process
here
.
This form may include fields for payment information. Data entered in these fields is not covered by PCI DSS compliance.