Get the free NPS/AHR Documentation Requirements. NPS/AHR Documentation Requirements - dec ny
Show details
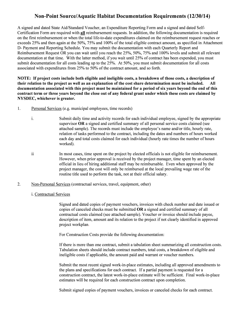
Gunpoint Source/Aquatic Habitat Documentation Requirements (12/30/14)
A signed and dated State Aid/Standard Voucher, an Expenditure Reporting Form and a signed and dated Recertification Form are required
We are not affiliated with any brand or entity on this form
Get, Create, Make and Sign npsahr documentation requirements npsahr
Edit your npsahr documentation requirements npsahr form online
Type text, complete fillable fields, insert images, highlight or blackout data for discretion, add comments, and more.
Add your legally-binding signature
Draw or type your signature, upload a signature image, or capture it with your digital camera.
Share your form instantly
Email, fax, or share your npsahr documentation requirements npsahr form via URL. You can also download, print, or export forms to your preferred cloud storage service.
How to edit npsahr documentation requirements npsahr online
In order to make advantage of the professional PDF editor, follow these steps:
1
Log in to account. Click Start Free Trial and sign up a profile if you don't have one yet.
2
Upload a file. Select Add New on your Dashboard and upload a file from your device or import it from the cloud, online, or internal mail. Then click Edit.
3
Edit npsahr documentation requirements npsahr. Rearrange and rotate pages, add and edit text, and use additional tools. To save changes and return to your Dashboard, click Done. The Documents tab allows you to merge, divide, lock, or unlock files.
4
Save your file. Select it from your list of records. Then, move your cursor to the right toolbar and choose one of the exporting options. You can save it in multiple formats, download it as a PDF, send it by email, or store it in the cloud, among other things.
pdfFiller makes working with documents easier than you could ever imagine. Create an account to find out for yourself how it works!
Uncompromising security for your PDF editing and eSignature needs
Your private information is safe with pdfFiller. We employ end-to-end encryption, secure cloud storage, and advanced access control to protect your documents and maintain regulatory compliance.
How to fill out npsahr documentation requirements npsahr
How to fill out npsahr documentation requirements npsahr
01
To fill out NPSAHR documentation requirements, follow these steps:
02
Gather all necessary information and documents such as personal identification, previous employment records, education qualifications, and any relevant certifications.
03
Review the NPSAHR documentation requirements to understand what information needs to be provided and in what format.
04
Start by filling out the basic personal information section, including your full name, contact details, and social security number.
05
Proceed to the employment history section and provide details of your previous work experience, including the company names, job positions, dates of employment, and responsibilities.
06
If applicable, include any educational qualifications by specifying the degrees earned, colleges/universities attended, and graduation dates.
07
Attach copies of relevant supporting documents such as identification cards, certificates, or transcripts.
08
Double-check all the filled-out information for accuracy and completeness.
09
Submit the completed NPSAHR documentation requirements to the designated department or authority as instructed.
Who needs npsahr documentation requirements npsahr?
01
Anyone who is applying for a job or position that requires NPSAHR documentation needs to fulfill the NPSAHR documentation requirements. This can include individuals seeking employment in organizations that follow the National Public Service Authority for Human Resources regulations and guidelines. Employers and hiring authorities also require the NPSAHR documentation to ensure compliance and validate the qualifications and background of potential candidates. It is essential for both job applicants and employers to understand and adhere to the NPSAHR documentation requirements to facilitate the hiring process and maintain transparency.
Fill
form
: Try Risk Free
For pdfFiller’s FAQs
Below is a list of the most common customer questions. If you can’t find an answer to your question, please don’t hesitate to reach out to us.
How can I modify npsahr documentation requirements npsahr without leaving Google Drive?
By integrating pdfFiller with Google Docs, you can streamline your document workflows and produce fillable forms that can be stored directly in Google Drive. Using the connection, you will be able to create, change, and eSign documents, including npsahr documentation requirements npsahr, all without having to leave Google Drive. Add pdfFiller's features to Google Drive and you'll be able to handle your documents more effectively from any device with an internet connection.
Can I edit npsahr documentation requirements npsahr on an iOS device?
Yes, you can. With the pdfFiller mobile app, you can instantly edit, share, and sign npsahr documentation requirements npsahr on your iOS device. Get it at the Apple Store and install it in seconds. The application is free, but you will have to create an account to purchase a subscription or activate a free trial.
How do I edit npsahr documentation requirements npsahr on an Android device?
With the pdfFiller mobile app for Android, you may make modifications to PDF files such as npsahr documentation requirements npsahr. Documents may be edited, signed, and sent directly from your mobile device. Install the app and you'll be able to manage your documents from anywhere.
What is npsahr documentation requirements npsahr?
Npsahr documentation requirements refer to the necessary documentation that must be submitted to the National Public Service Agency for Human Resources (NPSAHR) for various purposes such as recruitment, promotions, transfers, and disciplinary actions.
Who is required to file npsahr documentation requirements npsahr?
All government agencies, departments, and ministries are required to file npsahr documentation requirements with the National Public Service Agency for Human Resources (NPSAHR) for their employees.
How to fill out npsahr documentation requirements npsahr?
The npsahr documentation requirements can be filled out either online through the NPSAHR portal or manually by submitting the necessary paperwork to the agency's HR department.
What is the purpose of npsahr documentation requirements npsahr?
The purpose of npsahr documentation requirements is to ensure transparency, accountability, and compliance with regulations in the management of human resources within the public service sector.
What information must be reported on npsahr documentation requirements npsahr?
The npsahr documentation requirements typically include personal information, employment history, qualifications, training records, performance evaluations, and any disciplinary actions taken against the employee.
Fill out your npsahr documentation requirements npsahr online with pdfFiller!
pdfFiller is an end-to-end solution for managing, creating, and editing documents and forms in the cloud. Save time and hassle by preparing your tax forms online.
Npsahr Documentation Requirements Npsahr is not the form you're looking for?Search for another form here.
Relevant keywords
Related Forms
If you believe that this page should be taken down, please follow our DMCA take down process
here
.
This form may include fields for payment information. Data entered in these fields is not covered by PCI DSS compliance.