
Get the free IMPORTANT NOTES: - regent
Show details
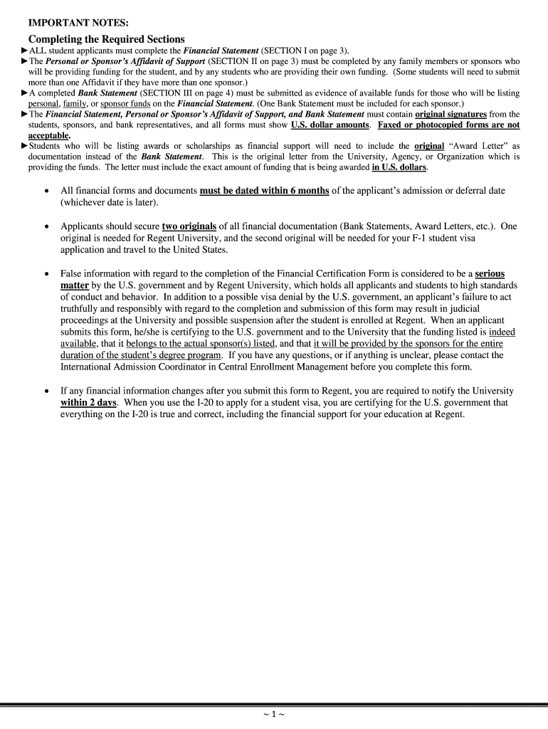
IMPORTANT NOTES: Completing the Required Sections ALL student applicants must complete the Financial Statement (SECTION I on page 3). The Personal or Sponsors Affidavit of Support (SECTION II on page
We are not affiliated with any brand or entity on this form
Get, Create, Make and Sign important notes - regent

Edit your important notes - regent form online
Type text, complete fillable fields, insert images, highlight or blackout data for discretion, add comments, and more.

Add your legally-binding signature
Draw or type your signature, upload a signature image, or capture it with your digital camera.

Share your form instantly
Email, fax, or share your important notes - regent form via URL. You can also download, print, or export forms to your preferred cloud storage service.
How to edit important notes - regent online
To use our professional PDF editor, follow these steps:
1
Log in. Click Start Free Trial and create a profile if necessary.
2
Simply add a document. Select Add New from your Dashboard and import a file into the system by uploading it from your device or importing it via the cloud, online, or internal mail. Then click Begin editing.
3
Edit important notes - regent. Rearrange and rotate pages, insert new and alter existing texts, add new objects, and take advantage of other helpful tools. Click Done to apply changes and return to your Dashboard. Go to the Documents tab to access merging, splitting, locking, or unlocking functions.
4
Save your file. Select it in the list of your records. Then, move the cursor to the right toolbar and choose one of the available exporting methods: save it in multiple formats, download it as a PDF, send it by email, or store it in the cloud.
pdfFiller makes working with documents easier than you could ever imagine. Register for an account and see for yourself!
Uncompromising security for your PDF editing and eSignature needs
Your private information is safe with pdfFiller. We employ end-to-end encryption, secure cloud storage, and advanced access control to protect your documents and maintain regulatory compliance.
How to fill out important notes - regent

How to fill out important notes - regent
01
Start by opening your preferred note-taking app or a plain notebook.
02
Write down the date and a clear title for your notes.
03
Divide your notes into sections or headings based on the topics being discussed.
04
Use bullet points or numbering to organize your thoughts and make them easily readable.
05
Summarize the main points or key takeaways for each section.
06
If there are any definitions or important facts, highlight or underline them.
07
Include any relevant examples or diagrams to enhance understanding.
08
Keep your notes concise and to the point, avoiding unnecessary details.
09
Review and revise your notes regularly to reinforce your understanding.
10
Consider using different colors or formatting styles to differentiate between important points.
11
Make sure to save or archive your notes in a secure location for future reference.
Who needs important notes - regent?
01
Students, especially those attending lectures or studying for exams, can benefit from important notes.
02
Professionals attending meetings or training sessions may find important notes helpful for retaining information.
03
Researchers and academics can use important notes to organize their findings and references.
04
Anyone seeking to improve their memory and retention can utilize important notes as a learning tool.
05
Individuals attending seminars, workshops, or conferences can capture valuable insights through important notes.
06
Entrepreneurs and business owners can keep track of important ideas and action items using notes.
07
Journalists and writers can use important notes to document interviews, research, and story ideas.
08
Anyone looking to stay organized and structured in their daily activities can benefit from important notes.
09
Regent students or individuals specifically interested in the Regent domain can make use of important notes for their educational or personal purposes.
Fill
form
: Try Risk Free
For pdfFiller’s FAQs
Below is a list of the most common customer questions. If you can’t find an answer to your question, please don’t hesitate to reach out to us.
How can I modify important notes - regent without leaving Google Drive?
People who need to keep track of documents and fill out forms quickly can connect PDF Filler to their Google Docs account. This means that they can make, edit, and sign documents right from their Google Drive. Make your important notes - regent into a fillable form that you can manage and sign from any internet-connected device with this add-on.
How do I complete important notes - regent online?
Completing and signing important notes - regent online is easy with pdfFiller. It enables you to edit original PDF content, highlight, blackout, erase and type text anywhere on a page, legally eSign your form, and much more. Create your free account and manage professional documents on the web.
How do I make edits in important notes - regent without leaving Chrome?
Add pdfFiller Google Chrome Extension to your web browser to start editing important notes - regent and other documents directly from a Google search page. The service allows you to make changes in your documents when viewing them in Chrome. Create fillable documents and edit existing PDFs from any internet-connected device with pdfFiller.
What is important notes - regent?
Important notes - regent are specific details and information that need to be documented and reported.
Who is required to file important notes - regent?
All individuals and entities involved in the regent process are required to file important notes - regent.
How to fill out important notes - regent?
Important notes - regent can be filled out by providing accurate and detailed information in the designated sections.
What is the purpose of important notes - regent?
The purpose of important notes - regent is to ensure transparency and compliance with regulations during the regent process.
What information must be reported on important notes - regent?
Important notes - regent should include details such as names of parties involved, dates, specifics of transactions, and any other pertinent information.
Fill out your important notes - regent online with pdfFiller!
pdfFiller is an end-to-end solution for managing, creating, and editing documents and forms in the cloud. Save time and hassle by preparing your tax forms online.

Important Notes - Regent is not the form you're looking for?Search for another form here.
Relevant keywords
Related Forms
If you believe that this page should be taken down, please follow our DMCA take down process
here
.
This form may include fields for payment information. Data entered in these fields is not covered by PCI DSS compliance.