Get the free NUMBER: wi-21-1116-1690
Show details
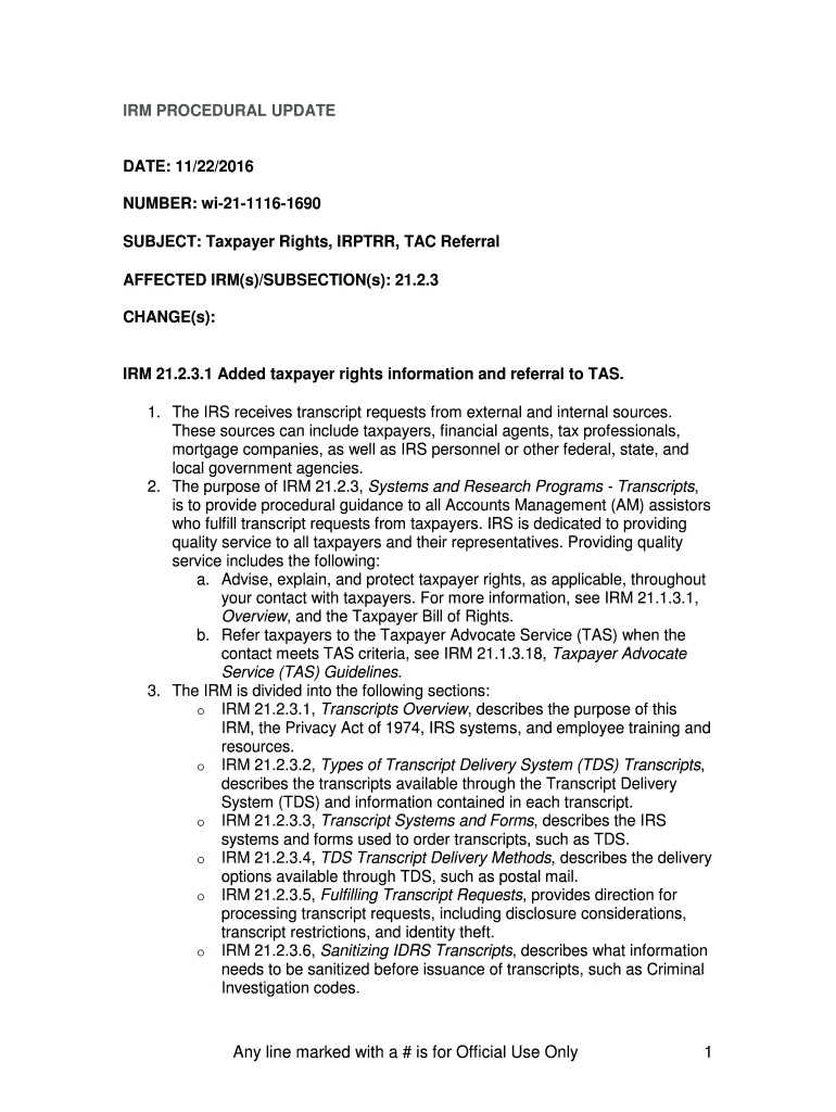
IRM PROCEDURAL UPDATE DATE: 11/22/2016 NUMBER: wi2111161690 SUBJECT: Taxpayer Rights, WRITER, TAC Referral AFFECTED IRM(s)/SUBSECTION(s): 21.2.3 CHANGE(s): IRM 21.2.3.1 Added taxpayer rights information
We are not affiliated with any brand or entity on this form
Get, Create, Make and Sign number wi-21-1116-1690
Edit your number wi-21-1116-1690 form online
Type text, complete fillable fields, insert images, highlight or blackout data for discretion, add comments, and more.
Add your legally-binding signature
Draw or type your signature, upload a signature image, or capture it with your digital camera.
Share your form instantly
Email, fax, or share your number wi-21-1116-1690 form via URL. You can also download, print, or export forms to your preferred cloud storage service.
Editing number wi-21-1116-1690 online
To use our professional PDF editor, follow these steps:
1
Log in to account. Click on Start Free Trial and register a profile if you don't have one yet.
2
Prepare a file. Use the Add New button to start a new project. Then, using your device, upload your file to the system by importing it from internal mail, the cloud, or adding its URL.
3
Edit number wi-21-1116-1690. Replace text, adding objects, rearranging pages, and more. Then select the Documents tab to combine, divide, lock or unlock the file.
4
Get your file. Select your file from the documents list and pick your export method. You may save it as a PDF, email it, or upload it to the cloud.
It's easier to work with documents with pdfFiller than you could have ever thought. You may try it out for yourself by signing up for an account.
Uncompromising security for your PDF editing and eSignature needs
Your private information is safe with pdfFiller. We employ end-to-end encryption, secure cloud storage, and advanced access control to protect your documents and maintain regulatory compliance.
How to fill out number wi-21-1116-1690
How to fill out number wi-21-1116-1690
01
To fill out number wi-21-1116-1690, follow these steps:
1. Start by understanding the format of the number:
- 'wi' represents the abbreviation for a specific location or organization.
- '21' indicates the year.
- '1116' represents a unique identifier.
- '1690' represents another specific identifier.
2. Gather all the necessary information that needs to be included in the number. This can vary depending on the purpose and context of the number.
3. Arrange the information in the correct order, ensuring that you follow the specific format mentioned above.
4. Double-check the accuracy of the number by comparing it with any given guidelines or instructions.
5. Once you are certain that the number is filled out correctly and accurately, proceed with its usage or submission as required.
Who needs number wi-21-1116-1690?
01
The number wi-21-1116-1690 might be needed by various individuals, organizations, or establishments involved in processes such as:
1. Identifying a specific location, agency, or department.
2. Assigning a unique code or reference number for tracking purposes.
3. Including it in official documents, forms, or records.
4. Ensuring consistency and standardization in administrative tasks.
The specific need for this number may vary depending on the context, but it often serves as a way to organize, categorize, or reference specific information within a system or workflow.
Fill
form
: Try Risk Free
For pdfFiller’s FAQs
Below is a list of the most common customer questions. If you can’t find an answer to your question, please don’t hesitate to reach out to us.
How do I edit number wi-21-1116-1690 online?
With pdfFiller, it's easy to make changes. Open your number wi-21-1116-1690 in the editor, which is very easy to use and understand. When you go there, you'll be able to black out and change text, write and erase, add images, draw lines, arrows, and more. You can also add sticky notes and text boxes.
How can I edit number wi-21-1116-1690 on a smartphone?
The pdfFiller apps for iOS and Android smartphones are available in the Apple Store and Google Play Store. You may also get the program at https://edit-pdf-ios-android.pdffiller.com/. Open the web app, sign in, and start editing number wi-21-1116-1690.
How do I fill out number wi-21-1116-1690 on an Android device?
Complete number wi-21-1116-1690 and other documents on your Android device with the pdfFiller app. The software allows you to modify information, eSign, annotate, and share files. You may view your papers from anywhere with an internet connection.
What is number wi-21-1116-1690?
This number is an identification code assigned to a specific form or document.
Who is required to file number wi-21-1116-1690?
Individuals or entities as specified by the relevant authorities.
How to fill out number wi-21-1116-1690?
By providing the requested information accurately and completely in the designated fields of the form.
What is the purpose of number wi-21-1116-1690?
To collect and report specific information to the relevant authorities for regulatory or compliance purposes.
What information must be reported on number wi-21-1116-1690?
Details as specified in the instructions provided with the form, usually pertaining to financial or operational activities.
Fill out your number wi-21-1116-1690 online with pdfFiller!
pdfFiller is an end-to-end solution for managing, creating, and editing documents and forms in the cloud. Save time and hassle by preparing your tax forms online.
Number Wi-21-1116-1690 is not the form you're looking for?Search for another form here.
Relevant keywords
Related Forms
If you believe that this page should be taken down, please follow our DMCA take down process
here
.
This form may include fields for payment information. Data entered in these fields is not covered by PCI DSS compliance.