
Get the free Independent Carrier Contract Packet - pp 1-2.doc
Show details
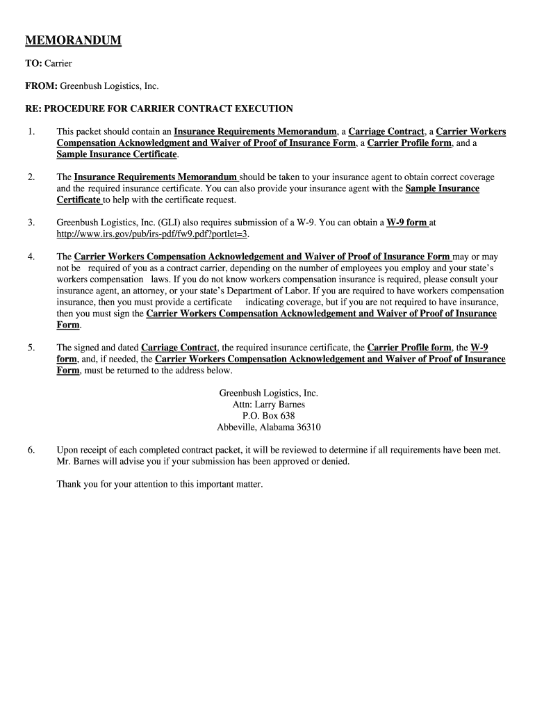
MEMORANDUM TO: Carrier FROM: Green bush Logistics, Inc. RE: PROCEDURE FOR CARRIER CONTRACT EXECUTION 1. This packet should contain an Insurance Requirements Memorandum, a Carriage Contract, a Carrier
We are not affiliated with any brand or entity on this form
Get, Create, Make and Sign independent carrier contract packet

Edit your independent carrier contract packet form online
Type text, complete fillable fields, insert images, highlight or blackout data for discretion, add comments, and more.

Add your legally-binding signature
Draw or type your signature, upload a signature image, or capture it with your digital camera.

Share your form instantly
Email, fax, or share your independent carrier contract packet form via URL. You can also download, print, or export forms to your preferred cloud storage service.
How to edit independent carrier contract packet online
To use the services of a skilled PDF editor, follow these steps:
1
Log in to account. Click on Start Free Trial and register a profile if you don't have one yet.
2
Prepare a file. Use the Add New button to start a new project. Then, using your device, upload your file to the system by importing it from internal mail, the cloud, or adding its URL.
3
Edit independent carrier contract packet. Rearrange and rotate pages, add and edit text, and use additional tools. To save changes and return to your Dashboard, click Done. The Documents tab allows you to merge, divide, lock, or unlock files.
4
Get your file. Select the name of your file in the docs list and choose your preferred exporting method. You can download it as a PDF, save it in another format, send it by email, or transfer it to the cloud.
With pdfFiller, dealing with documents is always straightforward. Try it right now!
Uncompromising security for your PDF editing and eSignature needs
Your private information is safe with pdfFiller. We employ end-to-end encryption, secure cloud storage, and advanced access control to protect your documents and maintain regulatory compliance.
How to fill out independent carrier contract packet

How to fill out independent carrier contract packet
01
Step 1: Obtain the independent carrier contract packet from the carrier company.
02
Step 2: Read through the entire packet carefully to understand the requirements and obligations.
03
Step 3: Fill out the personal information section, including your name, address, contact details, and any applicable identification numbers.
04
Step 4: Provide information about your vehicle(s), including make, model, year, and registration details.
05
Step 5: Include your insurance information, including policy numbers, coverage details, and expiration dates.
06
Step 6: Provide any additional documentation or certifications required by the carrier company.
07
Step 7: Review the completed packet to ensure all information is accurate and complete.
08
Step 8: Sign and date the contract packet to indicate your agreement to the terms and conditions.
09
Step 9: Make copies of the filled-out packet for your records.
10
Step 10: Submit the completed contract packet to the carrier company through the designated channel or as instructed.
Who needs independent carrier contract packet?
01
Independent truck drivers who wish to work with a carrier company.
02
Freight companies looking to establish contracts with independent carriers.
03
Transportation businesses seeking to expand their network of independent carriers.
04
Individuals or companies in need of specialized transportation services provided by independent carriers.
Fill
form
: Try Risk Free
For pdfFiller’s FAQs
Below is a list of the most common customer questions. If you can’t find an answer to your question, please don’t hesitate to reach out to us.
How can I modify independent carrier contract packet without leaving Google Drive?
Using pdfFiller with Google Docs allows you to create, amend, and sign documents straight from your Google Drive. The add-on turns your independent carrier contract packet into a dynamic fillable form that you can manage and eSign from anywhere.
How do I complete independent carrier contract packet online?
With pdfFiller, you may easily complete and sign independent carrier contract packet online. It lets you modify original PDF material, highlight, blackout, erase, and write text anywhere on a page, legally eSign your document, and do a lot more. Create a free account to handle professional papers online.
How do I fill out independent carrier contract packet on an Android device?
Use the pdfFiller mobile app and complete your independent carrier contract packet and other documents on your Android device. The app provides you with all essential document management features, such as editing content, eSigning, annotating, sharing files, etc. You will have access to your documents at any time, as long as there is an internet connection.
What is independent carrier contract packet?
Independent carrier contract packet is a document outlining the terms and conditions of a contract between an independent carrier and a company.
Who is required to file independent carrier contract packet?
Independent carriers are required to file the independent carrier contract packet.
How to fill out independent carrier contract packet?
To fill out the independent carrier contract packet, the independent carrier must provide all required information including contact details, services offered, rates, and terms of agreement.
What is the purpose of independent carrier contract packet?
The purpose of independent carrier contract packet is to establish a formal agreement between the carrier and the company outlining the terms of their partnership.
What information must be reported on independent carrier contract packet?
The independent carrier contract packet must include information such as contact details, services offered, rates, and terms of agreement.
Fill out your independent carrier contract packet online with pdfFiller!
pdfFiller is an end-to-end solution for managing, creating, and editing documents and forms in the cloud. Save time and hassle by preparing your tax forms online.

Independent Carrier Contract Packet is not the form you're looking for?Search for another form here.
Relevant keywords
Related Forms
If you believe that this page should be taken down, please follow our DMCA take down process
here
.
This form may include fields for payment information. Data entered in these fields is not covered by PCI DSS compliance.