Get the free application for license and certificate of marriage please read before ...
Show details
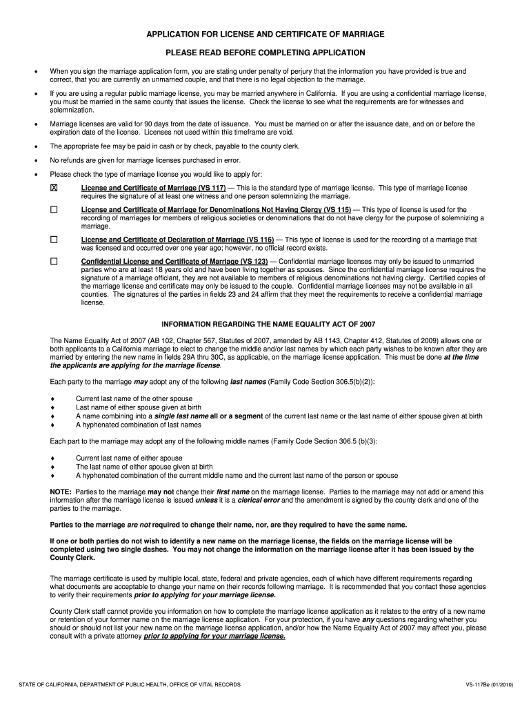
DATE OF BIRTH MM/DD/CCYY 1/20/1963 3. STATE/COUNTRY OF BIRTH CA/USA 4. PREV. MARRIAGES / SRDP 5A. LAST MARRIAGE / SRDP ENDED BY DEATH X DISSO 7. FULL BIRTH NAME OF MOTHER / PARENT McKenzie 7/23/1980 TERM SRDP 5B. DATE ENDED MM/DD/CCYY ANNULMENT Bates 5/27/2010 18. STATE OF CALIFORNIA DEPARTMENT OF PUBLIC HEALTH OFFICE OF VITAL RECORDS VS-117Be 01/2010 MUST BE LEGIBLE 1A. CITY 6. ADDRESS 3966 Lester Street Riverside 6/16/1994 9. ZIP CODE California John Anthony Elliott 92504 New York 11B....
We are not affiliated with any brand or entity on this form
Get, Create, Make and Sign application for license and
Edit your application for license and form online
Type text, complete fillable fields, insert images, highlight or blackout data for discretion, add comments, and more.
Add your legally-binding signature
Draw or type your signature, upload a signature image, or capture it with your digital camera.
Share your form instantly
Email, fax, or share your application for license and form via URL. You can also download, print, or export forms to your preferred cloud storage service.
Editing application for license and online
Follow the steps down below to benefit from the PDF editor's expertise:
1
Log in. Click Start Free Trial and create a profile if necessary.
2
Upload a file. Select Add New on your Dashboard and upload a file from your device or import it from the cloud, online, or internal mail. Then click Edit.
3
Edit application for license and. Text may be added and replaced, new objects can be included, pages can be rearranged, watermarks and page numbers can be added, and so on. When you're done editing, click Done and then go to the Documents tab to combine, divide, lock, or unlock the file.
4
Save your file. Select it in the list of your records. Then, move the cursor to the right toolbar and choose one of the available exporting methods: save it in multiple formats, download it as a PDF, send it by email, or store it in the cloud.
With pdfFiller, dealing with documents is always straightforward.
Uncompromising security for your PDF editing and eSignature needs
Your private information is safe with pdfFiller. We employ end-to-end encryption, secure cloud storage, and advanced access control to protect your documents and maintain regulatory compliance.
How to fill out application for license and
How to fill out application for license and
01
Step 1: Gather all necessary documents and information such as identification, proof of residency, and any required training certificates.
02
Step 2: Download or obtain the application form for a license from the appropriate regulatory agency or department.
03
Step 3: Read the instructions carefully and make sure you meet all the eligibility criteria for obtaining the license.
04
Step 4: Fill out the application form accurately and completely, providing all the requested information.
05
Step 5: Attach any required supporting documents along with the application form, such as copies of your identification or training certificates.
06
Step 6: Double-check all the information on the application form to ensure its accuracy and completeness.
07
Step 7: Submit the completed application form along with the supporting documents to the regulatory agency or department.
08
Step 8: Pay the necessary application fees as instructed by the regulatory agency or department.
09
Step 9: Wait for the application to be processed. This may involve a background check or review of your qualifications.
10
Step 10: Once approved, receive your license either by mail or in person, depending on the regulations of the issuing agency.
Who needs application for license and?
01
Individuals who want to engage in a regulated activity or profession requiring a license.
02
Professionals such as doctors, lawyers, engineers, teachers, and other licensed occupations.
03
Businesses or organizations that need specific permits or licenses to operate legally in a particular industry or jurisdiction.
Fill
form
: Try Risk Free
For pdfFiller’s FAQs
Below is a list of the most common customer questions. If you can’t find an answer to your question, please don’t hesitate to reach out to us.
How can I modify application for license and without leaving Google Drive?
You can quickly improve your document management and form preparation by integrating pdfFiller with Google Docs so that you can create, edit and sign documents directly from your Google Drive. The add-on enables you to transform your application for license and into a dynamic fillable form that you can manage and eSign from any internet-connected device.
How can I send application for license and to be eSigned by others?
When you're ready to share your application for license and, you can send it to other people and get the eSigned document back just as quickly. Share your PDF by email, fax, text message, or USPS mail. You can also notarize your PDF on the web. You don't have to leave your account to do this.
Can I edit application for license and on an Android device?
With the pdfFiller Android app, you can edit, sign, and share application for license and on your mobile device from any place. All you need is an internet connection to do this. Keep your documents in order from anywhere with the help of the app!
What is application for license and?
Application for license represents the formal request submitted to obtain a license or permit.
Who is required to file application for license and?
Individuals, organizations, or businesses seeking to obtain a license or permit are required to file an application.
How to fill out application for license and?
The application for license must be completed with accurate information and any required documentation to be considered for approval.
What is the purpose of application for license and?
The purpose of the application for license is to provide the necessary information for the licensing authority to evaluate the applicant's qualifications.
What information must be reported on application for license and?
The applicant must report personal information, business details, financial information, and any other relevant data requested on the application form.
Fill out your application for license and online with pdfFiller!
pdfFiller is an end-to-end solution for managing, creating, and editing documents and forms in the cloud. Save time and hassle by preparing your tax forms online.
Application For License And is not the form you're looking for?Search for another form here.
Relevant keywords
Related Forms
If you believe that this page should be taken down, please follow our DMCA take down process
here
.
This form may include fields for payment information. Data entered in these fields is not covered by PCI DSS compliance.