Get the free application for license and certificate of marriage please read before ...
Show details
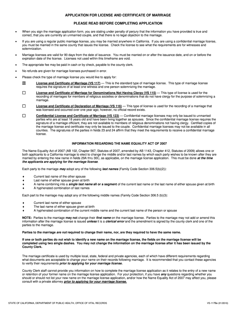
DATE OF BIRTH MM/DD/CCYY 7/23/1980 Bates 3. STATE/COUNTRY OF BIRTH Ca/USA 4. PREV. MARRIAGES / SRDP 5A. STATE OF CALIFORNIA DEPARTMENT OF PUBLIC HEALTH OFFICE OF VITAL RECORDS VS-117Be 01/2010 MUST BE LEGIBLE 1A. ZIP CODE California /USA 92504 10B. STATE OF BIRTH IF OUTSIDE U.S. ENTER COUNTRY 10A. FULL BIRTH NAME OF FATHER / PARENT James Lyle Whitney Michigan Tamara Lynn Hicks North Carolina Dominic John SECOND PERSON DATA TERM SRDP 5B. LAST MARRIAGE / SRDP ENDED BY DEATH X DISSO 7. CITY 6....
We are not affiliated with any brand or entity on this form
Get, Create, Make and Sign application for license and
Edit your application for license and form online
Type text, complete fillable fields, insert images, highlight or blackout data for discretion, add comments, and more.
Add your legally-binding signature
Draw or type your signature, upload a signature image, or capture it with your digital camera.
Share your form instantly
Email, fax, or share your application for license and form via URL. You can also download, print, or export forms to your preferred cloud storage service.
How to edit application for license and online
Follow the steps down below to benefit from a competent PDF editor:
1
Set up an account. If you are a new user, click Start Free Trial and establish a profile.
2
Prepare a file. Use the Add New button to start a new project. Then, using your device, upload your file to the system by importing it from internal mail, the cloud, or adding its URL.
3
Edit application for license and. Text may be added and replaced, new objects can be included, pages can be rearranged, watermarks and page numbers can be added, and so on. When you're done editing, click Done and then go to the Documents tab to combine, divide, lock, or unlock the file.
4
Save your file. Choose it from the list of records. Then, shift the pointer to the right toolbar and select one of the several exporting methods: save it in multiple formats, download it as a PDF, email it, or save it to the cloud.
pdfFiller makes working with documents easier than you could ever imagine. Try it for yourself by creating an account!
Uncompromising security for your PDF editing and eSignature needs
Your private information is safe with pdfFiller. We employ end-to-end encryption, secure cloud storage, and advanced access control to protect your documents and maintain regulatory compliance.
How to fill out application for license and
How to fill out application for license and
01
Read the instructions carefully before starting the application process.
02
Gather all the necessary documents and information required for the license application.
03
Complete the application form with accurate and up-to-date information.
04
Submit the completed application form along with the supporting documents to the relevant licensing authority.
05
Pay the required application fee as specified by the licensing authority.
06
Wait for the processing of your application.
07
Follow up with the licensing authority if there are any additional requirements or if they need further information.
08
Once your application is approved, you will be notified and provided with your license.
Who needs application for license and?
01
Any individual or entity who intends to engage in activities that require a license.
02
Professionals such as doctors, lawyers, architects, engineers, etc., need specific licenses to practice legally.
03
Businesses involved in industries like finance, healthcare, retail, construction, etc., may require licenses to operate legally.
04
Individuals or businesses planning to sell or distribute certain products may need licenses to comply with regulations.
05
Licensing requirements vary depending on the jurisdiction and the specific activities involved.
Fill
form
: Try Risk Free
For pdfFiller’s FAQs
Below is a list of the most common customer questions. If you can’t find an answer to your question, please don’t hesitate to reach out to us.
How can I manage my application for license and directly from Gmail?
It's easy to use pdfFiller's Gmail add-on to make and edit your application for license and and any other documents you get right in your email. You can also eSign them. Take a look at the Google Workspace Marketplace and get pdfFiller for Gmail. Get rid of the time-consuming steps and easily manage your documents and eSignatures with the help of an app.
How can I send application for license and to be eSigned by others?
To distribute your application for license and, simply send it to others and receive the eSigned document back instantly. Post or email a PDF that you've notarized online. Doing so requires never leaving your account.
How do I complete application for license and online?
Filling out and eSigning application for license and is now simple. The solution allows you to change and reorganize PDF text, add fillable fields, and eSign the document. Start a free trial of pdfFiller, the best document editing solution.
What is application for license and?
Application for license and is a form that individuals or businesses must fill out in order to obtain a license or permit to conduct certain activities.
Who is required to file application for license and?
Anyone who wishes to engage in the specific activity for which a license or permit is required must file an application for license and.
How to fill out application for license and?
To fill out an application for license and, individuals or businesses must provide the required information requested on the form and submit any necessary documentation.
What is the purpose of application for license and?
The purpose of the application for license and is to ensure that individuals or businesses meet the necessary requirements and qualifications to engage in the specific activity.
What information must be reported on application for license and?
The information required on an application for license and may vary depending on the type of license or permit being applied for, but typically includes personal or business information, documentation of qualifications, and payment of any required fees.
Fill out your application for license and online with pdfFiller!
pdfFiller is an end-to-end solution for managing, creating, and editing documents and forms in the cloud. Save time and hassle by preparing your tax forms online.
Application For License And is not the form you're looking for?Search for another form here.
Relevant keywords
Related Forms
If you believe that this page should be taken down, please follow our DMCA take down process
here
.
This form may include fields for payment information. Data entered in these fields is not covered by PCI DSS compliance.