Get the free Preparation Check List
Show details
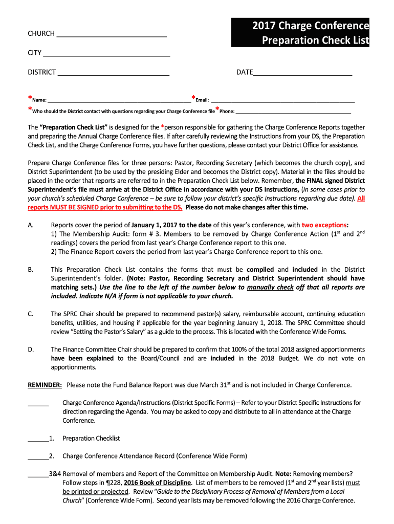
2017 Charge Conference Preparation Check Christchurch CITY DISTRICTDATE×Name: *Email: *Who should the District contact with questions regarding your Charge Conference file×Phone: The Preparation
We are not affiliated with any brand or entity on this form
Get, Create, Make and Sign preparation check list
Edit your preparation check list form online
Type text, complete fillable fields, insert images, highlight or blackout data for discretion, add comments, and more.
Add your legally-binding signature
Draw or type your signature, upload a signature image, or capture it with your digital camera.
Share your form instantly
Email, fax, or share your preparation check list form via URL. You can also download, print, or export forms to your preferred cloud storage service.
Editing preparation check list online
Here are the steps you need to follow to get started with our professional PDF editor:
1
Log in to your account. Click Start Free Trial and register a profile if you don't have one.
2
Prepare a file. Use the Add New button. Then upload your file to the system from your device, importing it from internal mail, the cloud, or by adding its URL.
3
Edit preparation check list. Rearrange and rotate pages, add and edit text, and use additional tools. To save changes and return to your Dashboard, click Done. The Documents tab allows you to merge, divide, lock, or unlock files.
4
Get your file. When you find your file in the docs list, click on its name and choose how you want to save it. To get the PDF, you can save it, send an email with it, or move it to the cloud.
With pdfFiller, it's always easy to work with documents.
Uncompromising security for your PDF editing and eSignature needs
Your private information is safe with pdfFiller. We employ end-to-end encryption, secure cloud storage, and advanced access control to protect your documents and maintain regulatory compliance.
How to fill out preparation check list
How to fill out preparation check list
01
Start by reviewing the items on the preparation check list.
02
Obtain all the necessary documents and materials required for the task.
03
Carefully read and understand the instructions provided with the check list.
04
Tick off each item on the check list as you complete it.
05
Double-check your work to ensure that everything has been properly filled out.
06
Make any necessary corrections or additions before submitting the check list.
Who needs preparation check list?
01
Anyone who needs to ensure that all necessary steps or items are in order before proceeding with a task or project.
02
Individuals who want to avoid any potential errors or omissions in their work.
03
Organizations that follow a systematic approach to ensure consistency and completeness in their processes.
04
Professionals who need to maintain compliance with certain regulations or standards.
05
Students who need to keep track of their progress while studying or preparing for exams.
Fill
form
: Try Risk Free
For pdfFiller’s FAQs
Below is a list of the most common customer questions. If you can’t find an answer to your question, please don’t hesitate to reach out to us.
How do I execute preparation check list online?
pdfFiller has made it easy to fill out and sign preparation check list. You can use the solution to change and move PDF content, add fields that can be filled in, and sign the document electronically. Start a free trial of pdfFiller, the best tool for editing and filling in documents.
How do I edit preparation check list straight from my smartphone?
The pdfFiller mobile applications for iOS and Android are the easiest way to edit documents on the go. You may get them from the Apple Store and Google Play. More info about the applications here. Install and log in to edit preparation check list.
How do I fill out preparation check list using my mobile device?
Use the pdfFiller mobile app to fill out and sign preparation check list. Visit our website (https://edit-pdf-ios-android.pdffiller.com/) to learn more about our mobile applications, their features, and how to get started.
What is preparation check list?
Preparation check list is a list that outlines the necessary tasks and steps to be completed in preparation for a specific event, activity, or project.
Who is required to file preparation check list?
The individual or team responsible for organizing and overseeing the event, activity, or project is typically required to file the preparation check list.
How to fill out preparation check list?
To fill out a preparation check list, one must systematically go through the list of tasks and steps and mark off each item as it is completed.
What is the purpose of preparation check list?
The purpose of a preparation check list is to ensure that all necessary tasks and steps are completed in a timely and organized manner, leading to a successful outcome.
What information must be reported on preparation check list?
The information reported on a preparation check list typically includes task descriptions, deadlines, responsible parties, and status updates.
Fill out your preparation check list online with pdfFiller!
pdfFiller is an end-to-end solution for managing, creating, and editing documents and forms in the cloud. Save time and hassle by preparing your tax forms online.
Preparation Check List is not the form you're looking for?Search for another form here.
Relevant keywords
Related Forms
If you believe that this page should be taken down, please follow our DMCA take down process
here
.
This form may include fields for payment information. Data entered in these fields is not covered by PCI DSS compliance.