Get the free Domain and Sub-Domain Authorization Letter
Show details
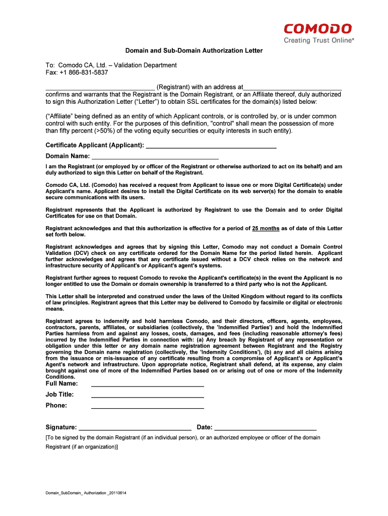
Domain and Subdomain Authorization Letter To: Como do CA, Ltd. Validation Department Fax: +1 8668315837 (Registrant) with an address at confirms and warrants that the Registrant is the Domain Registrant,
We are not affiliated with any brand or entity on this form
Get, Create, Make and Sign domain and sub-domain authorization
Edit your domain and sub-domain authorization form online
Type text, complete fillable fields, insert images, highlight or blackout data for discretion, add comments, and more.
Add your legally-binding signature
Draw or type your signature, upload a signature image, or capture it with your digital camera.
Share your form instantly
Email, fax, or share your domain and sub-domain authorization form via URL. You can also download, print, or export forms to your preferred cloud storage service.
How to edit domain and sub-domain authorization online
Use the instructions below to start using our professional PDF editor:
1
Log in. Click Start Free Trial and create a profile if necessary.
2
Prepare a file. Use the Add New button. Then upload your file to the system from your device, importing it from internal mail, the cloud, or by adding its URL.
3
Edit domain and sub-domain authorization. Replace text, adding objects, rearranging pages, and more. Then select the Documents tab to combine, divide, lock or unlock the file.
4
Get your file. Select your file from the documents list and pick your export method. You may save it as a PDF, email it, or upload it to the cloud.
With pdfFiller, it's always easy to deal with documents.
Uncompromising security for your PDF editing and eSignature needs
Your private information is safe with pdfFiller. We employ end-to-end encryption, secure cloud storage, and advanced access control to protect your documents and maintain regulatory compliance.
How to fill out domain and sub-domain authorization
How to fill out domain and sub-domain authorization
01
First, gather all the necessary information about the domain and sub-domain you want to authorize.
02
Access your domain registrar's account and find the domain management section.
03
Locate the authorization settings or access control options for the domain and sub-domain.
04
Enter the domain and sub-domain names that you want to authorize.
05
Save the changes and confirm the authorization process if required.
Who needs domain and sub-domain authorization?
01
Domain and sub-domain authorization is needed by website owners or administrators who want to grant specific access permissions to certain domains or sub-domains.
02
It is commonly used in scenarios where there are multiple sub-domains or when granting access to external services or third-party applications.
03
Authorization helps ensure that only authorized domains and sub-domains can interact with the website or its resources, providing an added layer of security and control.
Fill
form
: Try Risk Free
For pdfFiller’s FAQs
Below is a list of the most common customer questions. If you can’t find an answer to your question, please don’t hesitate to reach out to us.
How do I complete domain and sub-domain authorization online?
pdfFiller has made it simple to fill out and eSign domain and sub-domain authorization. The application has capabilities that allow you to modify and rearrange PDF content, add fillable fields, and eSign the document. Begin a free trial to discover all of the features of pdfFiller, the best document editing solution.
How do I edit domain and sub-domain authorization on an iOS device?
Use the pdfFiller mobile app to create, edit, and share domain and sub-domain authorization from your iOS device. Install it from the Apple Store in seconds. You can benefit from a free trial and choose a subscription that suits your needs.
Can I edit domain and sub-domain authorization on an Android device?
Yes, you can. With the pdfFiller mobile app for Android, you can edit, sign, and share domain and sub-domain authorization on your mobile device from any location; only an internet connection is needed. Get the app and start to streamline your document workflow from anywhere.
What is domain and sub-domain authorization?
Domain and sub-domain authorization is the process of granting permission to access or use a specific domain or sub-domain.
Who is required to file domain and sub-domain authorization?
Individuals or entities who own or operate a domain or sub-domain are required to file domain and sub-domain authorization.
How to fill out domain and sub-domain authorization?
Domain and sub-domain authorization can be filled out online through a designated platform by providing relevant information about the domain or sub-domain.
What is the purpose of domain and sub-domain authorization?
The purpose of domain and sub-domain authorization is to ensure secure access and use of specific domains and sub-domains.
What information must be reported on domain and sub-domain authorization?
Information such as domain name, sub-domain name, owner/operator details, and authorization duration must be reported on domain and sub-domain authorization.
Fill out your domain and sub-domain authorization online with pdfFiller!
pdfFiller is an end-to-end solution for managing, creating, and editing documents and forms in the cloud. Save time and hassle by preparing your tax forms online.
Domain And Sub-Domain Authorization is not the form you're looking for?Search for another form here.
Relevant keywords
Related Forms
If you believe that this page should be taken down, please follow our DMCA take down process
here
.
This form may include fields for payment information. Data entered in these fields is not covered by PCI DSS compliance.