Get the free IN CONSIDERATION OF , my child/ward, being
Show details
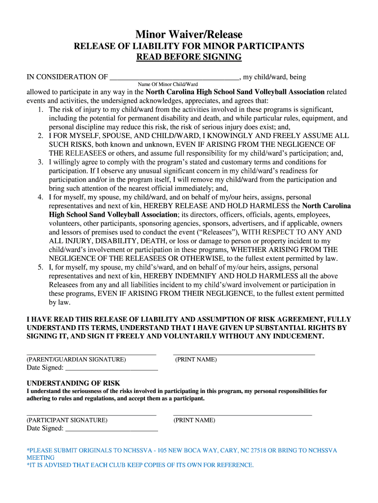
Minor Waiver/Release OF LIABILITY FOR MINOR PARTICIPANTS READ BEFORE SIGNING IN CONSIDERATION OF, my child/ward, being Name Of Minor Child/Ward allowed to participate in any way in the North Carolina
We are not affiliated with any brand or entity on this form
Get, Create, Make and Sign in consideration of my
Edit your in consideration of my form online
Type text, complete fillable fields, insert images, highlight or blackout data for discretion, add comments, and more.
Add your legally-binding signature
Draw or type your signature, upload a signature image, or capture it with your digital camera.
Share your form instantly
Email, fax, or share your in consideration of my form via URL. You can also download, print, or export forms to your preferred cloud storage service.
How to edit in consideration of my online
To use the professional PDF editor, follow these steps below:
1
Register the account. Begin by clicking Start Free Trial and create a profile if you are a new user.
2
Simply add a document. Select Add New from your Dashboard and import a file into the system by uploading it from your device or importing it via the cloud, online, or internal mail. Then click Begin editing.
3
Edit in consideration of my. Rearrange and rotate pages, add new and changed texts, add new objects, and use other useful tools. When you're done, click Done. You can use the Documents tab to merge, split, lock, or unlock your files.
4
Get your file. When you find your file in the docs list, click on its name and choose how you want to save it. To get the PDF, you can save it, send an email with it, or move it to the cloud.
With pdfFiller, dealing with documents is always straightforward.
Uncompromising security for your PDF editing and eSignature needs
Your private information is safe with pdfFiller. We employ end-to-end encryption, secure cloud storage, and advanced access control to protect your documents and maintain regulatory compliance.
How to fill out in consideration of my
How to fill out in consideration of my
01
Start by gathering all the necessary information and documents required for the consideration.
02
Carefully read and understand the instructions provided for filling out the form.
03
Begin filling out the form by entering your personal details such as name, address, contact information, etc.
04
Specify the purpose or reason for the consideration and provide any additional relevant information.
05
Follow the given format and guidelines while providing the required information.
06
Double-check all the entries to ensure accuracy and completeness.
07
If applicable, attach any supporting documents that are needed for the consideration.
08
Review the filled-out form for any errors or missing information.
09
Sign and date the form as required.
10
Submit the completed form through the designated channel or to the appropriate authority.
Who needs in consideration of my?
01
Individuals who are seeking a particular consideration or benefit.
02
Applicants who are required to submit this form as part of an application process.
03
Any person who needs to provide specific information for evaluation or review.
04
Individuals who want to request a consideration from an organization or authority.
05
Any person who is instructed or advised to fill out this form for a given purpose.
06
Anyone who wants to formally request a review or consideration of certain circumstances.
07
Applicants who want to ensure their eligibility or suitability by providing necessary details.
08
Individuals who want to present their case or request for special consideration.
09
People who need to provide supporting documentation for a particular consideration.
10
Any person who wants their request or application to be reviewed and taken into consideration.
Fill
form
: Try Risk Free
For pdfFiller’s FAQs
Below is a list of the most common customer questions. If you can’t find an answer to your question, please don’t hesitate to reach out to us.
How do I edit in consideration of my in Chrome?
Install the pdfFiller Google Chrome Extension in your web browser to begin editing in consideration of my and other documents right from a Google search page. When you examine your documents in Chrome, you may make changes to them. With pdfFiller, you can create fillable documents and update existing PDFs from any internet-connected device.
Can I edit in consideration of my on an iOS device?
Create, modify, and share in consideration of my using the pdfFiller iOS app. Easy to install from the Apple Store. You may sign up for a free trial and then purchase a membership.
Can I edit in consideration of my on an Android device?
Yes, you can. With the pdfFiller mobile app for Android, you can edit, sign, and share in consideration of my on your mobile device from any location; only an internet connection is needed. Get the app and start to streamline your document workflow from anywhere.
What is in consideration of my?
In consideration of my refers to taking into account or thinking about something.
Who is required to file in consideration of my?
Anyone who is involved in a particular decision or situation may be required to file in consideration of my.
How to fill out in consideration of my?
You can fill out in consideration of my by carefully considering all aspects of the situation and providing relevant information.
What is the purpose of in consideration of my?
The purpose of in consideration of my is to ensure that all relevant factors are taken into account before making a decision or taking action.
What information must be reported on in consideration of my?
The information that must be reported on in consideration of my includes all relevant details and factors that may impact the decision or situation.
Fill out your in consideration of my online with pdfFiller!
pdfFiller is an end-to-end solution for managing, creating, and editing documents and forms in the cloud. Save time and hassle by preparing your tax forms online.
In Consideration Of My is not the form you're looking for?Search for another form here.
Relevant keywords
Related Forms
If you believe that this page should be taken down, please follow our DMCA take down process
here
.
This form may include fields for payment information. Data entered in these fields is not covered by PCI DSS compliance.