Form preview

Get the free SAMPLE SOURCES

Get Form
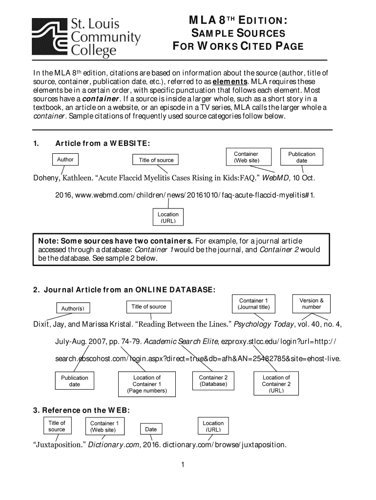
MLA 8TH EDITION: SAMPLE SOURCES FOR WORKS CITED PAGE In the MLA 8th edition, citations are based on information about the source (author, title of source, container, publication date, etc.), referred
We are not affiliated with any brand or entity on this form

Get, Create, Make and Sign sample sources

Edit
Edit your sample sources form online
Type text, complete fillable fields, insert images, highlight or blackout data for discretion, add comments, and more.
Add
Add your legally-binding signature
Draw or type your signature, upload a signature image, or capture it with your digital camera.
Share
Share your form instantly
Email, fax, or share your sample sources form via URL. You can also download, print, or export forms to your preferred cloud storage service.

Editing sample sources online

9.5
Ease of Setup
pdfFiller User Ratings on G2
9.0
Ease of Use
pdfFiller User Ratings on G2
To use the services of a skilled PDF editor, follow these steps:
1
Log in. Click Start Free Trial and create a profile if necessary.
2
Upload a file. Select Add New on your Dashboard and upload a file from your device or import it from the cloud, online, or internal mail. Then click Edit.
3
Edit sample sources. Rearrange and rotate pages, insert new and alter existing texts, add new objects, and take advantage of other helpful tools. Click Done to apply changes and return to your Dashboard. Go to the Documents tab to access merging, splitting, locking, or unlocking functions.
4
Save your file. Select it in the list of your records. Then, move the cursor to the right toolbar and choose one of the available exporting methods: save it in multiple formats, download it as a PDF, send it by email, or store it in the cloud.
pdfFiller makes dealing with documents a breeze. Create an account to find out!

Uncompromising security for your PDF editing and eSignature needs

Your private information is safe with pdfFiller. We employ end-to-end encryption, secure cloud storage, and advanced access control to protect your documents and maintain regulatory compliance.
GDPR
AICPA SOC 2
PCI
HIPAA
CCPA
FDA

How to fill out sample sources

Illustration

How to fill out sample sources

01
First, gather all the necessary information for the source, such as the author's name, title of the source, publication date, and URL if applicable.
02
Start by writing the author's last name and first initial, followed by a period.
03
Next, write the title of the source in sentence case, capitalizing the first word and any significant words. Place a period at the end of the title.
04
After the title, include the publication date in parentheses, following the format of 'Year, Month Day'. Place a period outside the closing parenthesis.
05
If the source is from an online website, include the URL at the end, starting with 'Retrieved from:' followed by the full URL.
06
If there are multiple authors, list each author's name in the same format as the first author, separating them with commas.
07
When citing a book, include the publisher and location after the title, following the format of 'Location: Publisher'.
08
Finally, double-check your citations for accuracy and make sure all the required information is included.

Who needs sample sources?

01
Students and researchers who are writing academic papers or conducting research projects need sample sources to understand how to properly cite and reference their sources.
02
Writers and authors who are creating articles, books, or other written content also benefit from sample sources to ensure their work is accurately referenced.
03
Librarians and academic professionals often use sample sources to educate others on proper citation practices and provide examples for reference.
04
Editors and proofreaders may use sample sources to verify the accuracy and formatting of citations in written work.
05
Anyone who wants to avoid plagiarism and give credit to the original authors of the information they use in their own writing should refer to sample sources.
Fill form : Try Risk Free
Users Most Likely To Recommend - Summer 2025
Grid Leader in Small-Business - Summer 2025
High Performer - Summer 2025
Regional Leader - Summer 2025
Easiest To Do Business With - Summer 2025
Best Meets Requirements- Summer 2025
Rate the form
4.6
Satisfied
48 Votes

For pdfFiller’s FAQs

Below is a list of the most common customer questions. If you can’t find an answer to your question, please don’t hesitate to reach out to us.

The pdfFiller Gmail add-on lets you create, modify, fill out, and sign sample sources and other documents directly in your email. Click here to get pdfFiller for Gmail. Eliminate tedious procedures and handle papers and eSignatures easily.
Simplify your document workflows and create fillable forms right in Google Drive by integrating pdfFiller with Google Docs. The integration will allow you to create, modify, and eSign documents, including sample sources, without leaving Google Drive. Add pdfFiller’s functionalities to Google Drive and manage your paperwork more efficiently on any internet-connected device.
Yes. You can use pdfFiller to sign documents and use all of the features of the PDF editor in one place if you add this solution to Chrome. In order to use the extension, you can draw or write an electronic signature. You can also upload a picture of your handwritten signature. There is no need to worry about how long it takes to sign your sample sources.
Sample sources refer to the sources used to obtain data or information for analysis, research, or study.
Researchers, analysts, or individuals conducting a study or analysis are required to file sample sources.
Sample sources can be filled out by providing detailed information about the sources used, including the author, publication date, and specific data collected.
The purpose of sample sources is to provide transparency and credibility to the analysis or study by documenting the sources used.
Information such as author names, publication dates, URLs, and data collected must be reported on sample sources.
Fill out your sample sources online with pdfFiller!

pdfFiller is an end-to-end solution for managing, creating, and editing documents and forms in the cloud. Save time and hassle by preparing your tax forms online.

Get started now
Form preview
If you believe that this page should be taken down, please follow our DMCA take down process here .
This form may include fields for payment information. Data entered in these fields is not covered by PCI DSS compliance.