Get the free How do I correctly certify a copy of a document
Show details
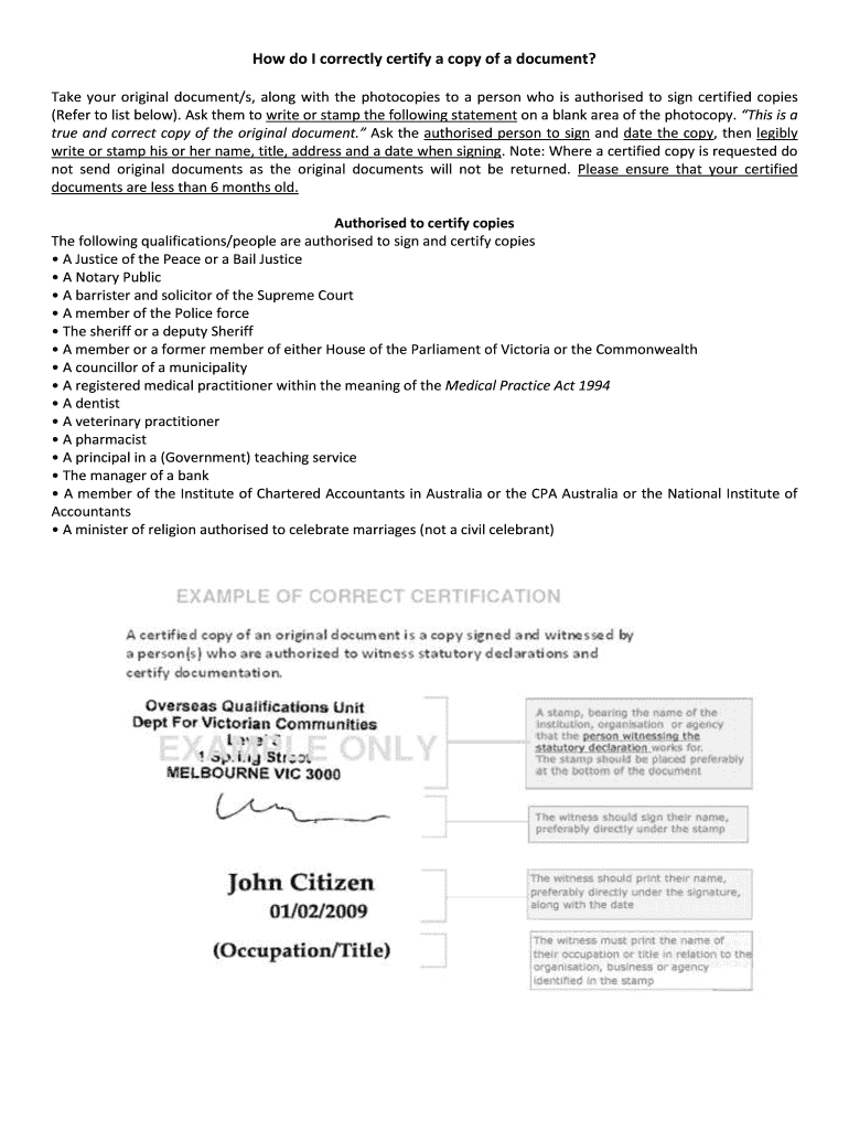
How do I correctly certify a copy of a document?
Take your original document/s, along with the photocopies to a person who is authorized to sign certified copies
(Refer to list below). Ask them to
We are not affiliated with any brand or entity on this form
Get, Create, Make and Sign how do i correctly
Edit your how do i correctly form online
Type text, complete fillable fields, insert images, highlight or blackout data for discretion, add comments, and more.
Add your legally-binding signature
Draw or type your signature, upload a signature image, or capture it with your digital camera.
Share your form instantly
Email, fax, or share your how do i correctly form via URL. You can also download, print, or export forms to your preferred cloud storage service.
How to edit how do i correctly online
Use the instructions below to start using our professional PDF editor:
1
Register the account. Begin by clicking Start Free Trial and create a profile if you are a new user.
2
Upload a file. Select Add New on your Dashboard and upload a file from your device or import it from the cloud, online, or internal mail. Then click Edit.
3
Edit how do i correctly. Add and change text, add new objects, move pages, add watermarks and page numbers, and more. Then click Done when you're done editing and go to the Documents tab to merge or split the file. If you want to lock or unlock the file, click the lock or unlock button.
4
Save your file. Select it in the list of your records. Then, move the cursor to the right toolbar and choose one of the available exporting methods: save it in multiple formats, download it as a PDF, send it by email, or store it in the cloud.
Dealing with documents is simple using pdfFiller.
Uncompromising security for your PDF editing and eSignature needs
Your private information is safe with pdfFiller. We employ end-to-end encryption, secure cloud storage, and advanced access control to protect your documents and maintain regulatory compliance.
Fill
form
: Try Risk Free
For pdfFiller’s FAQs
Below is a list of the most common customer questions. If you can’t find an answer to your question, please don’t hesitate to reach out to us.
How can I edit how do i correctly on a smartphone?
You can easily do so with pdfFiller's apps for iOS and Android devices, which can be found at the Apple Store and the Google Play Store, respectively. You can use them to fill out PDFs. We have a website where you can get the app, but you can also get it there. When you install the app, log in, and start editing how do i correctly, you can start right away.
How do I fill out the how do i correctly form on my smartphone?
You can quickly make and fill out legal forms with the help of the pdfFiller app on your phone. Complete and sign how do i correctly and other documents on your mobile device using the application. If you want to learn more about how the PDF editor works, go to pdfFiller.com.
How can I fill out how do i correctly on an iOS device?
Make sure you get and install the pdfFiller iOS app. Next, open the app and log in or set up an account to use all of the solution's editing tools. If you want to open your how do i correctly, you can upload it from your device or cloud storage, or you can type the document's URL into the box on the right. After you fill in all of the required fields in the document and eSign it, if that is required, you can save or share it with other people.
What is how do i correctly?
How do i correctly refers to the process of accurately completing a specific form or task.
Who is required to file how do i correctly?
Individuals or entities who are mandated by law or regulation to submit certain documents or information correctly.
How to fill out how do i correctly?
To fill out how do i correctly, carefully read the instructions provided and accurately input the required information.
What is the purpose of how do i correctly?
The purpose of how do i correctly is to ensure that accurate and complete information is submitted for a specific purpose or legal requirement.
What information must be reported on how do i correctly?
The information that must be reported on how do i correctly may vary depending on the specific form or task.
Fill out your how do i correctly online with pdfFiller!
pdfFiller is an end-to-end solution for managing, creating, and editing documents and forms in the cloud. Save time and hassle by preparing your tax forms online.
How Do I Correctly is not the form you're looking for?Search for another form here.
Relevant keywords
Related Forms
If you believe that this page should be taken down, please follow our DMCA take down process
here
.
This form may include fields for payment information. Data entered in these fields is not covered by PCI DSS compliance.