Get the free Question 37229
Show details
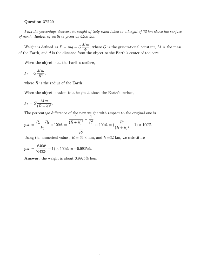
Question 37229 Find the percentage decrease in weight of body when taken to a height of 32 km above the surface of earth. Radius of earth is given as 6400 km. Mm, Weight! Is defined as P mg G 2, where
We are not affiliated with any brand or entity on this form
Get, Create, Make and Sign question 37229
Edit your question 37229 form online
Type text, complete fillable fields, insert images, highlight or blackout data for discretion, add comments, and more.
Add your legally-binding signature
Draw or type your signature, upload a signature image, or capture it with your digital camera.
Share your form instantly
Email, fax, or share your question 37229 form via URL. You can also download, print, or export forms to your preferred cloud storage service.
Editing question 37229 online
Follow the steps below to benefit from the PDF editor's expertise:
1
Register the account. Begin by clicking Start Free Trial and create a profile if you are a new user.
2
Prepare a file. Use the Add New button. Then upload your file to the system from your device, importing it from internal mail, the cloud, or by adding its URL.
3
Edit question 37229. Replace text, adding objects, rearranging pages, and more. Then select the Documents tab to combine, divide, lock or unlock the file.
4
Get your file. When you find your file in the docs list, click on its name and choose how you want to save it. To get the PDF, you can save it, send an email with it, or move it to the cloud.
It's easier to work with documents with pdfFiller than you can have believed. Sign up for a free account to view.
Uncompromising security for your PDF editing and eSignature needs
Your private information is safe with pdfFiller. We employ end-to-end encryption, secure cloud storage, and advanced access control to protect your documents and maintain regulatory compliance.
Fill
form
: Try Risk Free
For pdfFiller’s FAQs
Below is a list of the most common customer questions. If you can’t find an answer to your question, please don’t hesitate to reach out to us.
Can I create an electronic signature for the question 37229 in Chrome?
As a PDF editor and form builder, pdfFiller has a lot of features. It also has a powerful e-signature tool that you can add to your Chrome browser. With our extension, you can type, draw, or take a picture of your signature with your webcam to make your legally-binding eSignature. Choose how you want to sign your question 37229 and you'll be done in minutes.
How do I fill out the question 37229 form on my smartphone?
Use the pdfFiller mobile app to fill out and sign question 37229 on your phone or tablet. Visit our website to learn more about our mobile apps, how they work, and how to get started.
How do I edit question 37229 on an Android device?
With the pdfFiller Android app, you can edit, sign, and share question 37229 on your mobile device from any place. All you need is an internet connection to do this. Keep your documents in order from anywhere with the help of the app!
What is question 37229?
Question 37229 is a specific inquiry related to financial or regulatory information.
Who is required to file question 37229?
All entities or individuals specified by the relevant governing body are required to file question 37229.
How to fill out question 37229?
Question 37229 should be filled out according to the instructions provided by the governing body or regulatory authority.
What is the purpose of question 37229?
The purpose of question 37229 is to gather specific information for regulatory compliance or financial reporting.
What information must be reported on question 37229?
Question 37229 typically requires information such as financial data, transaction details, or regulatory compliance information.
Fill out your question 37229 online with pdfFiller!
pdfFiller is an end-to-end solution for managing, creating, and editing documents and forms in the cloud. Save time and hassle by preparing your tax forms online.
Question 37229 is not the form you're looking for?Search for another form here.
Relevant keywords
Related Forms
If you believe that this page should be taken down, please follow our DMCA take down process
here
.
This form may include fields for payment information. Data entered in these fields is not covered by PCI DSS compliance.