Get the free THREE-YEAR NON-RENEWABLE TEMPORARY CERTIFICATE CERTIFICATION
Show details
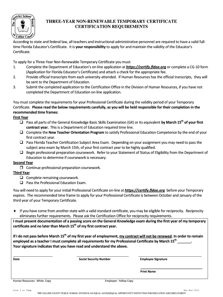
THRESHER NONRENEWABLE TEMPORARY CERTIFICATE
CERTIFICATION REQUIREMENTS
According to state and federal law, all teachers and instructional administrative personnel are required to have a valid full
We are not affiliated with any brand or entity on this form
Get, Create, Make and Sign three-year non-renewable temporary certificate
Edit your three-year non-renewable temporary certificate form online
Type text, complete fillable fields, insert images, highlight or blackout data for discretion, add comments, and more.
Add your legally-binding signature
Draw or type your signature, upload a signature image, or capture it with your digital camera.
Share your form instantly
Email, fax, or share your three-year non-renewable temporary certificate form via URL. You can also download, print, or export forms to your preferred cloud storage service.
How to edit three-year non-renewable temporary certificate online
To use the services of a skilled PDF editor, follow these steps:
1
Create an account. Begin by choosing Start Free Trial and, if you are a new user, establish a profile.
2
Upload a document. Select Add New on your Dashboard and transfer a file into the system in one of the following ways: by uploading it from your device or importing from the cloud, web, or internal mail. Then, click Start editing.
3
Edit three-year non-renewable temporary certificate. Text may be added and replaced, new objects can be included, pages can be rearranged, watermarks and page numbers can be added, and so on. When you're done editing, click Done and then go to the Documents tab to combine, divide, lock, or unlock the file.
4
Save your file. Select it from your list of records. Then, move your cursor to the right toolbar and choose one of the exporting options. You can save it in multiple formats, download it as a PDF, send it by email, or store it in the cloud, among other things.
The use of pdfFiller makes dealing with documents straightforward.
Uncompromising security for your PDF editing and eSignature needs
Your private information is safe with pdfFiller. We employ end-to-end encryption, secure cloud storage, and advanced access control to protect your documents and maintain regulatory compliance.
How to fill out three-year non-renewable temporary certificate
How to fill out a three-year non-renewable temporary certificate?
01
Start by obtaining the necessary form. You can usually find this form on the website of the organization or institution issuing the certificate. If not available online, visit their office to request a physical copy.
02
Carefully read the instructions provided with the form. Make sure you understand all the requirements and any supporting documents that need to be submitted along with the completed form.
03
Begin filling out the form by providing your personal information. This typically includes your full name, date of birth, address, contact information, and any other details requested.
04
Move on to the section where you will specify the purpose or reason for the certificate. Clearly state why you need a three-year non-renewable temporary certificate and provide any additional information or documentation required.
05
Check if there is a section where you need to provide information about your educational background or current employment status. Fill in these details accurately as requested.
06
If the application form requires any supporting documentation, ensure that you have all the necessary papers ready. This may include identification documents, educational certificates, transcripts, or any other relevant paperwork.
07
Double-check your completed form for any errors or omissions. Ensure that all the information provided is accurate and consistent. It's a good practice to have someone review it with fresh eyes to catch any mistakes that you might have missed.
08
Once you are satisfied with the form, sign and date it as requested. Make sure to follow any specific instructions about where to sign or if any witnesses are required.
09
Prepare any accompanying documents or supporting evidence that needs to be submitted alongside the completed form. Organize them neatly and securely to avoid misplacing or damaging any important paperwork.
10
Finally, submit the completed form along with the supporting documents to the designated authority or office responsible for processing these certificates. Follow any additional instructions given regarding payment of fees or the submission method (online, mail, in-person, etc.).
Who needs a three-year non-renewable temporary certificate?
01
Individuals who are involved in a specific professional field that requires a temporary certification for a fixed period may need a three-year non-renewable temporary certificate. This could include areas such as teaching, counseling, or healthcare.
02
Professionals who are working on a limited-term contract or project that requires a specific certification might also need a three-year non-renewable temporary certificate. This ensures they meet the necessary qualifications for their temporary role.
03
Some individuals may pursue a three-year non-renewable temporary certificate to gain experience, enhance their skills, or fulfill specific requirements set by regulatory bodies or professional associations.
Remember, it is important to consult the specific guidelines and requirements of the organization or institution issuing the certificate to understand if you are eligible and how to properly complete the application process.
Fill
form
: Try Risk Free
For pdfFiller’s FAQs
Below is a list of the most common customer questions. If you can’t find an answer to your question, please don’t hesitate to reach out to us.
How do I make changes in three-year non-renewable temporary certificate?
pdfFiller not only lets you change the content of your files, but you can also change the number and order of pages. Upload your three-year non-renewable temporary certificate to the editor and make any changes in a few clicks. The editor lets you black out, type, and erase text in PDFs. You can also add images, sticky notes, and text boxes, as well as many other things.
How can I fill out three-year non-renewable temporary certificate on an iOS device?
Install the pdfFiller iOS app. Log in or create an account to access the solution's editing features. Open your three-year non-renewable temporary certificate by uploading it from your device or online storage. After filling in all relevant fields and eSigning if required, you may save or distribute the document.
How do I edit three-year non-renewable temporary certificate on an Android device?
You can make any changes to PDF files, like three-year non-renewable temporary certificate, with the help of the pdfFiller Android app. Edit, sign, and send documents right from your phone or tablet. You can use the app to make document management easier wherever you are.
What is three-year non-renewable temporary certificate?
A three-year non-renewable temporary certificate is a document issued for a specific period of time that cannot be extended or renewed.
Who is required to file three-year non-renewable temporary certificate?
Individuals or organizations who need a temporary certificate for a three-year period are required to file it.
How to fill out three-year non-renewable temporary certificate?
To fill out a three-year non-renewable temporary certificate, one must provide all the required information accurately and submit it by the deadline.
What is the purpose of three-year non-renewable temporary certificate?
The purpose of a three-year non-renewable temporary certificate is to grant temporary authorization for a specific period of three years.
What information must be reported on three-year non-renewable temporary certificate?
The three-year non-renewable temporary certificate must include information such as the name of the individual or organization, the purpose of the certificate, and the duration of validity.
Fill out your three-year non-renewable temporary certificate online with pdfFiller!
pdfFiller is an end-to-end solution for managing, creating, and editing documents and forms in the cloud. Save time and hassle by preparing your tax forms online.
Three-Year Non-Renewable Temporary Certificate is not the form you're looking for?Search for another form here.
Relevant keywords
Related Forms
If you believe that this page should be taken down, please follow our DMCA take down process
here
.
This form may include fields for payment information. Data entered in these fields is not covered by PCI DSS compliance.