Get the free NHC Geriatric Clinical Residency Program
Show details
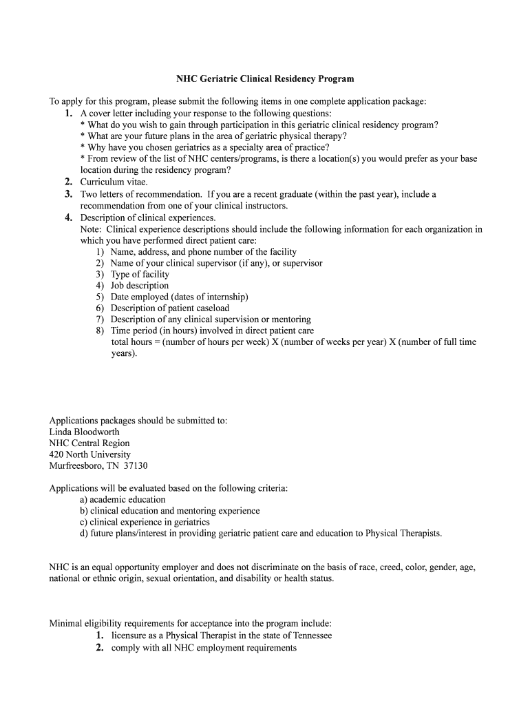
NHC Geriatric Clinical Residency Program
To apply for this program, please submit the following items in one complete application package:
1. A cover letter including your response to the following
We are not affiliated with any brand or entity on this form
Get, Create, Make and Sign nhc geriatric clinical residency
Edit your nhc geriatric clinical residency form online
Type text, complete fillable fields, insert images, highlight or blackout data for discretion, add comments, and more.
Add your legally-binding signature
Draw or type your signature, upload a signature image, or capture it with your digital camera.
Share your form instantly
Email, fax, or share your nhc geriatric clinical residency form via URL. You can also download, print, or export forms to your preferred cloud storage service.
Editing nhc geriatric clinical residency online
Follow the guidelines below to use a professional PDF editor:
1
Register the account. Begin by clicking Start Free Trial and create a profile if you are a new user.
2
Upload a document. Select Add New on your Dashboard and transfer a file into the system in one of the following ways: by uploading it from your device or importing from the cloud, web, or internal mail. Then, click Start editing.
3
Edit nhc geriatric clinical residency. Replace text, adding objects, rearranging pages, and more. Then select the Documents tab to combine, divide, lock or unlock the file.
4
Save your file. Select it from your records list. Then, click the right toolbar and select one of the various exporting options: save in numerous formats, download as PDF, email, or cloud.
Dealing with documents is always simple with pdfFiller.
Uncompromising security for your PDF editing and eSignature needs
Your private information is safe with pdfFiller. We employ end-to-end encryption, secure cloud storage, and advanced access control to protect your documents and maintain regulatory compliance.
Fill
form
: Try Risk Free
For pdfFiller’s FAQs
Below is a list of the most common customer questions. If you can’t find an answer to your question, please don’t hesitate to reach out to us.
How do I complete nhc geriatric clinical residency online?
pdfFiller has made filling out and eSigning nhc geriatric clinical residency easy. The solution is equipped with a set of features that enable you to edit and rearrange PDF content, add fillable fields, and eSign the document. Start a free trial to explore all the capabilities of pdfFiller, the ultimate document editing solution.
Can I create an eSignature for the nhc geriatric clinical residency in Gmail?
You may quickly make your eSignature using pdfFiller and then eSign your nhc geriatric clinical residency right from your mailbox using pdfFiller's Gmail add-on. Please keep in mind that in order to preserve your signatures and signed papers, you must first create an account.
How can I edit nhc geriatric clinical residency on a smartphone?
You can do so easily with pdfFiller’s applications for iOS and Android devices, which can be found at the Apple Store and Google Play Store, respectively. Alternatively, you can get the app on our web page: https://edit-pdf-ios-android.pdffiller.com/. Install the application, log in, and start editing nhc geriatric clinical residency right away.
What is nhc geriatric clinical residency?
The NHC Geriatric Clinical Residency is a specialized training program designed for healthcare professionals to enhance their skills in caring for elderly patients.
Who is required to file nhc geriatric clinical residency?
Healthcare professionals who wish to specialize in geriatric care or work with elderly patients are required to complete the NHC Geriatric Clinical Residency.
How to fill out nhc geriatric clinical residency?
To fill out the NHC Geriatric Clinical Residency, eligible healthcare professionals must complete the application form and submit it along with the required documents.
What is the purpose of nhc geriatric clinical residency?
The purpose of the NHC Geriatric Clinical Residency is to improve the quality of care for elderly patients by equipping healthcare professionals with specialized skills and knowledge in geriatric care.
What information must be reported on nhc geriatric clinical residency?
The NHC Geriatric Clinical Residency requires information such as the healthcare professional's background, qualifications, and experience in geriatric care.
Fill out your nhc geriatric clinical residency online with pdfFiller!
pdfFiller is an end-to-end solution for managing, creating, and editing documents and forms in the cloud. Save time and hassle by preparing your tax forms online.
Nhc Geriatric Clinical Residency is not the form you're looking for?Search for another form here.
Relevant keywords
Related Forms
If you believe that this page should be taken down, please follow our DMCA take down process
here
.
This form may include fields for payment information. Data entered in these fields is not covered by PCI DSS compliance.