
Get the free Peer Response Sheet for Literacy Narrative (LN)
Show details
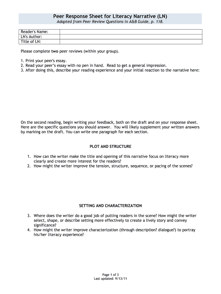
Peer Response Sheet for Literacy Narrative (LN) Adapted from Peer Review Questions in A&B Guide, p. 118. Reader's Name: LN's Author: Title of LN: Please complete two peer reviews (within your group).
We are not affiliated with any brand or entity on this form
Get, Create, Make and Sign peer response sheet for

Edit your peer response sheet for form online
Type text, complete fillable fields, insert images, highlight or blackout data for discretion, add comments, and more.

Add your legally-binding signature
Draw or type your signature, upload a signature image, or capture it with your digital camera.

Share your form instantly
Email, fax, or share your peer response sheet for form via URL. You can also download, print, or export forms to your preferred cloud storage service.
Editing peer response sheet for online
Here are the steps you need to follow to get started with our professional PDF editor:
1
Register the account. Begin by clicking Start Free Trial and create a profile if you are a new user.
2
Prepare a file. Use the Add New button. Then upload your file to the system from your device, importing it from internal mail, the cloud, or by adding its URL.
3
Edit peer response sheet for. Rearrange and rotate pages, add new and changed texts, add new objects, and use other useful tools. When you're done, click Done. You can use the Documents tab to merge, split, lock, or unlock your files.
4
Save your file. Select it from your records list. Then, click the right toolbar and select one of the various exporting options: save in numerous formats, download as PDF, email, or cloud.
pdfFiller makes dealing with documents a breeze. Create an account to find out!
Uncompromising security for your PDF editing and eSignature needs
Your private information is safe with pdfFiller. We employ end-to-end encryption, secure cloud storage, and advanced access control to protect your documents and maintain regulatory compliance.
How to fill out peer response sheet for

How to fill out peer response sheet for
01
Step 1: Read the paper or document you are reviewing thoroughly.
02
Step 2: Use the peer response sheet provided or create your own template.
03
Step 3: Start by providing a brief summary of the paper or document.
04
Step 4: Evaluate the strengths and weaknesses of the paper or document.
05
Step 5: Comment on the clarity and organization of the writing.
06
Step 6: Offer constructive feedback and suggestions for improvement.
07
Step 7: Check for grammar, spelling, and punctuation errors.
08
Step 8: Provide an overall assessment or rating of the paper or document.
09
Step 9: Submit the completed peer response sheet to the author or instructor.
Who needs peer response sheet for?
01
Students who are required to review and provide feedback on their peers' work.
02
Authors or researchers who want to gather feedback on their papers or documents.
03
Writing instructors or professors who use peer response as part of their teaching methods.
Fill
form
: Try Risk Free
For pdfFiller’s FAQs
Below is a list of the most common customer questions. If you can’t find an answer to your question, please don’t hesitate to reach out to us.
How can I manage my peer response sheet for directly from Gmail?
You may use pdfFiller's Gmail add-on to change, fill out, and eSign your peer response sheet for as well as other documents directly in your inbox by using the pdfFiller add-on for Gmail. pdfFiller for Gmail may be found on the Google Workspace Marketplace. Use the time you would have spent dealing with your papers and eSignatures for more vital tasks instead.
How can I send peer response sheet for to be eSigned by others?
When your peer response sheet for is finished, send it to recipients securely and gather eSignatures with pdfFiller. You may email, text, fax, mail, or notarize a PDF straight from your account. Create an account today to test it.
How do I edit peer response sheet for on an Android device?
The pdfFiller app for Android allows you to edit PDF files like peer response sheet for. Mobile document editing, signing, and sending. Install the app to ease document management anywhere.
What is peer response sheet for?
Peer response sheet is used to provide feedback, suggestions, or evaluations on a peer's work or performance.
Who is required to file peer response sheet for?
Anyone who is assigned to provide peer feedback or evaluation is required to fill out a peer response sheet.
How to fill out peer response sheet for?
To fill out a peer response sheet, one should carefully review the peer's work, provide constructive feedback, and submit the completed sheet to the designated recipient.
What is the purpose of peer response sheet for?
The purpose of a peer response sheet is to improve the quality of work, encourage growth and development, and foster a culture of collaboration and feedback.
What information must be reported on peer response sheet for?
The information reported on a peer response sheet typically includes specific feedback, suggestions for improvement, strengths and weaknesses, and overall evaluation.
Fill out your peer response sheet for online with pdfFiller!
pdfFiller is an end-to-end solution for managing, creating, and editing documents and forms in the cloud. Save time and hassle by preparing your tax forms online.

Peer Response Sheet For is not the form you're looking for?Search for another form here.
Relevant keywords
Related Forms
If you believe that this page should be taken down, please follow our DMCA take down process
here
.
This form may include fields for payment information. Data entered in these fields is not covered by PCI DSS compliance.