Get the free Indice di dipendenza nelle attivit strumentali della vita quotidiana (scala IADL)
Show details
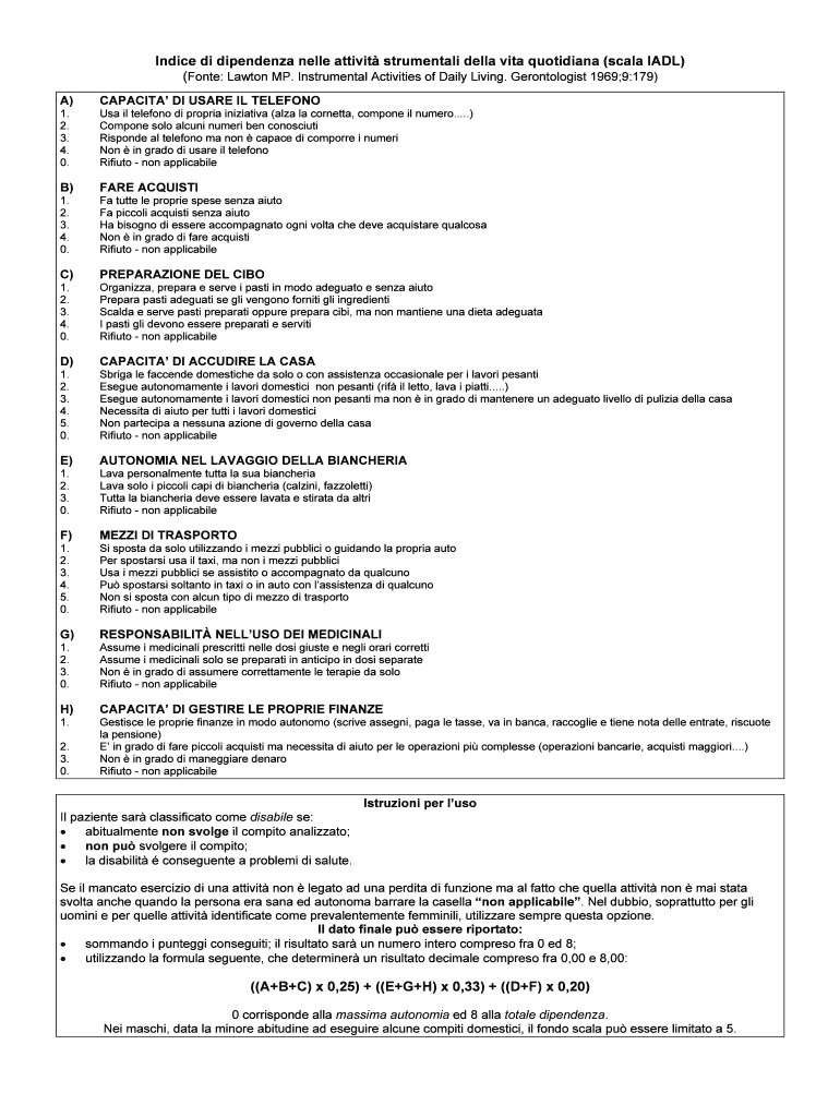
Indie DI dependent Nellie activity instrumental Della vita quotidian (Scala IDL) (Monte: Lawton MP. Instrumental Activities of Daily Living. Gerontologist 1969;9:179) A)CAPACITY DI USAGE IL TELEFONO1.
We are not affiliated with any brand or entity on this form
Get, Create, Make and Sign indice di dipendenza nelle
Edit your indice di dipendenza nelle form online
Type text, complete fillable fields, insert images, highlight or blackout data for discretion, add comments, and more.
Add your legally-binding signature
Draw or type your signature, upload a signature image, or capture it with your digital camera.
Share your form instantly
Email, fax, or share your indice di dipendenza nelle form via URL. You can also download, print, or export forms to your preferred cloud storage service.
Editing indice di dipendenza nelle online
Follow the steps below to take advantage of the professional PDF editor:
1
Log in. Click Start Free Trial and create a profile if necessary.
2
Simply add a document. Select Add New from your Dashboard and import a file into the system by uploading it from your device or importing it via the cloud, online, or internal mail. Then click Begin editing.
3
Edit indice di dipendenza nelle. Text may be added and replaced, new objects can be included, pages can be rearranged, watermarks and page numbers can be added, and so on. When you're done editing, click Done and then go to the Documents tab to combine, divide, lock, or unlock the file.
4
Save your file. Select it in the list of your records. Then, move the cursor to the right toolbar and choose one of the available exporting methods: save it in multiple formats, download it as a PDF, send it by email, or store it in the cloud.
With pdfFiller, it's always easy to deal with documents. Try it right now
Uncompromising security for your PDF editing and eSignature needs
Your private information is safe with pdfFiller. We employ end-to-end encryption, secure cloud storage, and advanced access control to protect your documents and maintain regulatory compliance.
How to fill out indice di dipendenza nelle
How to fill out indice di dipendenza nelle
01
Gather all the necessary information about the dependencies you want to record.
02
Create a table or spreadsheet to organize the data, including columns for the dependent variable, the independent variable, and any other relevant attributes.
03
Determine the weight or strength of each dependency, if applicable.
04
Fill in the table or spreadsheet with the data for each dependency, making sure to accurately record the dependent and independent variables.
05
Calculate the indice di dipendenza (dependency index) based on the provided formula or algorithm.
06
Review the filled-out indice di dipendenza to ensure accuracy and completeness.
07
Use the finalized indice di dipendenza for analysis, decision making, or any other applicable purpose.
Who needs indice di dipendenza nelle?
01
Researchers who want to study the relationships between variables.
02
Business analysts who need to assess the impact of certain factors on a dependent variable.
03
Policy makers who need to understand the interdependence of various factors in a system.
04
Data scientists who are designing models or algorithms that rely on dependencies.
Fill
form
: Try Risk Free
For pdfFiller’s FAQs
Below is a list of the most common customer questions. If you can’t find an answer to your question, please don’t hesitate to reach out to us.
How can I send indice di dipendenza nelle to be eSigned by others?
When your indice di dipendenza nelle is finished, send it to recipients securely and gather eSignatures with pdfFiller. You may email, text, fax, mail, or notarize a PDF straight from your account. Create an account today to test it.
How can I get indice di dipendenza nelle?
It’s easy with pdfFiller, a comprehensive online solution for professional document management. Access our extensive library of online forms (over 25M fillable forms are available) and locate the indice di dipendenza nelle in a matter of seconds. Open it right away and start customizing it using advanced editing features.
Can I edit indice di dipendenza nelle on an iOS device?
Create, modify, and share indice di dipendenza nelle using the pdfFiller iOS app. Easy to install from the Apple Store. You may sign up for a free trial and then purchase a membership.
What is indice di dipendenza nelle?
Indice di dipendenza nelle is a financial statement used to report the level of dependence on a specific entity or source of income.
Who is required to file indice di dipendenza nelle?
Indice di dipendenza nelle must be filed by individuals or entities who have a financial relationship or dependence on a specific entity or income source.
How to fill out indice di dipendenza nelle?
Indice di dipendenza nelle can be filled out by providing detailed information about the financial relationship or dependence on a specific entity or income source.
What is the purpose of indice di dipendenza nelle?
The purpose of indice di dipendenza nelle is to provide transparency and insights into financial dependencies and relationships.
What information must be reported on indice di dipendenza nelle?
Information such as the nature of the financial relationship, the amount of dependence, and any potential conflicts of interest must be reported on indice di dipendenza nelle.
Fill out your indice di dipendenza nelle online with pdfFiller!
pdfFiller is an end-to-end solution for managing, creating, and editing documents and forms in the cloud. Save time and hassle by preparing your tax forms online.
Indice Di Dipendenza Nelle is not the form you're looking for?Search for another form here.
Relevant keywords
Related Forms
If you believe that this page should be taken down, please follow our DMCA take down process
here
.
This form may include fields for payment information. Data entered in these fields is not covered by PCI DSS compliance.