Get the free SEARCH PROCESS FOR ON-CAMPUS FACULTY INTERVIEWS
Show details
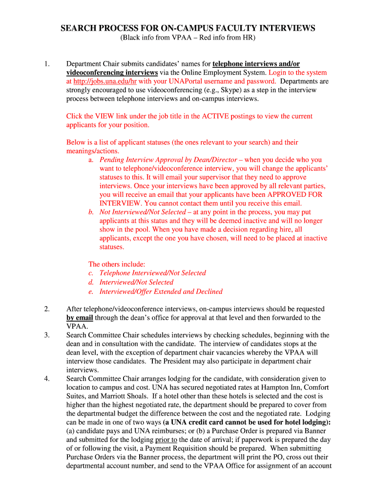
SEARCH PROCESS FOR CAMPUS FACULTY INTERVIEWS (Black info from VP AA Red info from HR)1. Department Chair submits candidates names for telephone interviews and/or videoconferencing interviews via the
We are not affiliated with any brand or entity on this form
Get, Create, Make and Sign search process for on-campus
Edit your search process for on-campus form online
Type text, complete fillable fields, insert images, highlight or blackout data for discretion, add comments, and more.
Add your legally-binding signature
Draw or type your signature, upload a signature image, or capture it with your digital camera.
Share your form instantly
Email, fax, or share your search process for on-campus form via URL. You can also download, print, or export forms to your preferred cloud storage service.
How to edit search process for on-campus online
Use the instructions below to start using our professional PDF editor:
1
Set up an account. If you are a new user, click Start Free Trial and establish a profile.
2
Upload a file. Select Add New on your Dashboard and upload a file from your device or import it from the cloud, online, or internal mail. Then click Edit.
3
Edit search process for on-campus. Rearrange and rotate pages, insert new and alter existing texts, add new objects, and take advantage of other helpful tools. Click Done to apply changes and return to your Dashboard. Go to the Documents tab to access merging, splitting, locking, or unlocking functions.
4
Save your file. Select it in the list of your records. Then, move the cursor to the right toolbar and choose one of the available exporting methods: save it in multiple formats, download it as a PDF, send it by email, or store it in the cloud.
With pdfFiller, it's always easy to deal with documents.
Uncompromising security for your PDF editing and eSignature needs
Your private information is safe with pdfFiller. We employ end-to-end encryption, secure cloud storage, and advanced access control to protect your documents and maintain regulatory compliance.
How to fill out search process for on-campus
How to fill out search process for on-campus
01
Begin by visiting the campus website or contacting the admissions office to obtain information about the search process for on-campus.
02
Take note of any deadlines or requirements you need to fulfill in order to be considered for on-campus housing.
03
Fill out the necessary forms or applications provided by the campus, providing accurate and complete information.
04
Submit the filled-out forms and any required supporting documents within the prescribed timeframe.
05
Follow up with the campus or admissions office to ensure that your application has been received and processed.
06
If selected for on-campus housing, carefully review the offer letter or notification and follow any instructions provided.
07
Complete any additional steps, such as paying a deposit or signing a housing agreement, as outlined by the campus.
08
Prepare yourself for the move-in process by gathering any required documents, packing necessary belongings, and familiarizing yourself with campus policies and procedures.
09
Arrive on campus on the designated move-in date, following any instructions provided, and complete the check-in process.
10
Finally, settle into your on-campus housing and make the most of your experience!
Who needs search process for on-campus?
01
Anyone who is planning to study or work on a college or university campus and requires on-campus housing.
Fill
form
: Try Risk Free
For pdfFiller’s FAQs
Below is a list of the most common customer questions. If you can’t find an answer to your question, please don’t hesitate to reach out to us.
How do I complete search process for on-campus online?
pdfFiller makes it easy to finish and sign search process for on-campus online. It lets you make changes to original PDF content, highlight, black out, erase, and write text anywhere on a page, legally eSign your form, and more, all from one place. Create a free account and use the web to keep track of professional documents.
Can I create an eSignature for the search process for on-campus in Gmail?
You may quickly make your eSignature using pdfFiller and then eSign your search process for on-campus right from your mailbox using pdfFiller's Gmail add-on. Please keep in mind that in order to preserve your signatures and signed papers, you must first create an account.
Can I edit search process for on-campus on an Android device?
You can. With the pdfFiller Android app, you can edit, sign, and distribute search process for on-campus from anywhere with an internet connection. Take use of the app's mobile capabilities.
What is search process for on-campus?
The search process for on-campus involves conducting searches for potential candidates to fill positions within the university or college.
Who is required to file search process for on-campus?
All departments or units within the institution that are looking to hire new staff or faculty are required to file a search process for on-campus.
How to fill out search process for on-campus?
The search process for on-campus is typically filled out through an online portal provided by the institution, where information about the position, qualifications, and recruitment process is entered.
What is the purpose of search process for on-campus?
The purpose of the search process for on-campus is to ensure a fair and transparent recruitment process to attract qualified candidates and fill positions effectively.
What information must be reported on search process for on-campus?
Information such as the job description, required qualifications, recruitment plan, and selection criteria must be reported on the search process for on-campus.
Fill out your search process for on-campus online with pdfFiller!
pdfFiller is an end-to-end solution for managing, creating, and editing documents and forms in the cloud. Save time and hassle by preparing your tax forms online.
Search Process For On-Campus is not the form you're looking for?Search for another form here.
Relevant keywords
Related Forms
If you believe that this page should be taken down, please follow our DMCA take down process
here
.
This form may include fields for payment information. Data entered in these fields is not covered by PCI DSS compliance.