Get the free NIKE BASKETBALL CLINIC
Show details
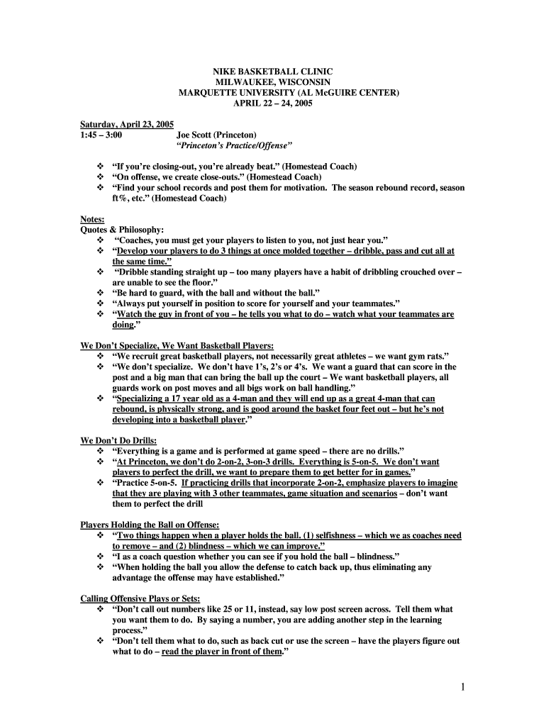
NIKE BASKETBALL CLINIC MILWAUKEE, WISCONSIN MARQUETTE UNIVERSITY (AL McGuire CENTER) APRIL 22 24, 2005 Saturday, April 23, 2005 1:45 3:00 Joe Scott (Princeton) Princeton's Practice/Offense If you're
We are not affiliated with any brand or entity on this form
Get, Create, Make and Sign nike basketball clinic
Edit your nike basketball clinic form online
Type text, complete fillable fields, insert images, highlight or blackout data for discretion, add comments, and more.
Add your legally-binding signature
Draw or type your signature, upload a signature image, or capture it with your digital camera.
Share your form instantly
Email, fax, or share your nike basketball clinic form via URL. You can also download, print, or export forms to your preferred cloud storage service.
Editing nike basketball clinic online
Use the instructions below to start using our professional PDF editor:
1
Log in. Click Start Free Trial and create a profile if necessary.
2
Prepare a file. Use the Add New button. Then upload your file to the system from your device, importing it from internal mail, the cloud, or by adding its URL.
3
Edit nike basketball clinic. Rearrange and rotate pages, add new and changed texts, add new objects, and use other useful tools. When you're done, click Done. You can use the Documents tab to merge, split, lock, or unlock your files.
4
Get your file. Select your file from the documents list and pick your export method. You may save it as a PDF, email it, or upload it to the cloud.
Dealing with documents is always simple with pdfFiller.
Uncompromising security for your PDF editing and eSignature needs
Your private information is safe with pdfFiller. We employ end-to-end encryption, secure cloud storage, and advanced access control to protect your documents and maintain regulatory compliance.
How to fill out nike basketball clinic
How to fill out nike basketball clinic
01
Visit the official Nike website and go to the 'Basketball Clinic' page.
02
Click on the 'Register Now' button.
03
Fill out your personal details, including your name, age, and contact information.
04
Choose the desired clinic location, date, and session time.
05
Provide any additional information or preferences, if required.
06
Review your information to ensure accuracy.
07
Proceed to payment and complete the registration process.
08
You will receive a confirmation email with your registration details.
09
Arrive at the clinic venue on the scheduled date and time, ready for a great basketball experience!
Who needs nike basketball clinic?
01
Nike basketball clinic is suitable for anyone interested in enhancing their basketball skills and knowledge.
02
It is ideal for basketball players of all ages and skill levels, from beginners to advanced athletes.
03
Coaches, trainers, and basketball enthusiasts who want to expand their coaching techniques and strategies can also benefit from the clinic.
04
Whether you are looking to improve your fundamentals, learn advanced techniques, or gain insights from experienced basketball professionals, the Nike basketball clinic is for you.
Fill
form
: Try Risk Free
For pdfFiller’s FAQs
Below is a list of the most common customer questions. If you can’t find an answer to your question, please don’t hesitate to reach out to us.
How do I execute nike basketball clinic online?
pdfFiller makes it easy to finish and sign nike basketball clinic online. It lets you make changes to original PDF content, highlight, black out, erase, and write text anywhere on a page, legally eSign your form, and more, all from one place. Create a free account and use the web to keep track of professional documents.
Can I create an eSignature for the nike basketball clinic in Gmail?
You can easily create your eSignature with pdfFiller and then eSign your nike basketball clinic directly from your inbox with the help of pdfFiller’s add-on for Gmail. Please note that you must register for an account in order to save your signatures and signed documents.
How do I edit nike basketball clinic on an iOS device?
You can. Using the pdfFiller iOS app, you can edit, distribute, and sign nike basketball clinic. Install it in seconds at the Apple Store. The app is free, but you must register to buy a subscription or start a free trial.
What is nike basketball clinic?
Nike basketball clinic is a training program organized by Nike for basketball players to improve their skills and techniques.
Who is required to file nike basketball clinic?
Anyone who attends or organizes the Nike basketball clinic may be required to file specific forms or waivers.
How to fill out nike basketball clinic?
To fill out the Nike basketball clinic, participants may need to provide personal information, sign waivers, and pay any associated fees.
What is the purpose of nike basketball clinic?
The purpose of Nike basketball clinic is to help players enhance their basketball skills, learn from experienced coaches, and possibly showcase their talents.
What information must be reported on nike basketball clinic?
Information such as participant names, contact details, medical history, waivers, and payment information may need to be reported on the Nike basketball clinic forms.
Fill out your nike basketball clinic online with pdfFiller!
pdfFiller is an end-to-end solution for managing, creating, and editing documents and forms in the cloud. Save time and hassle by preparing your tax forms online.
Nike Basketball Clinic is not the form you're looking for?Search for another form here.
Relevant keywords
Related Forms
If you believe that this page should be taken down, please follow our DMCA take down process
here
.
This form may include fields for payment information. Data entered in these fields is not covered by PCI DSS compliance.