Form preview

Get the free Name of Gram

Get Form
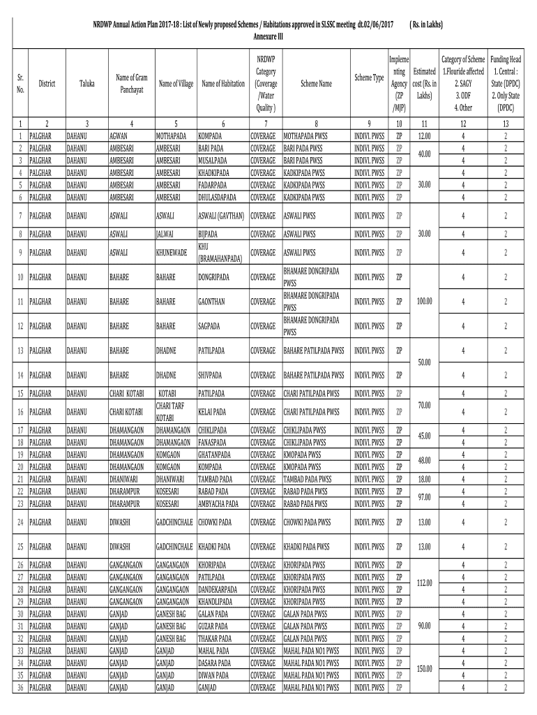
NSDAP Annual Action Plan 201718 : List of Newly proposed Schemes / Habitations approved in SLS SC meeting dt.02/06/2017 Appendix III Sr. No. DistrictTalukaName of Gram PanchayatName of Villeinage
We are not affiliated with any brand or entity on this form

Get, Create, Make and Sign name of gram

Edit
Edit your name of gram form online
Type text, complete fillable fields, insert images, highlight or blackout data for discretion, add comments, and more.
Add
Add your legally-binding signature
Draw or type your signature, upload a signature image, or capture it with your digital camera.
Share
Share your form instantly
Email, fax, or share your name of gram form via URL. You can also download, print, or export forms to your preferred cloud storage service.

Editing name of gram online

9.5
Ease of Setup
pdfFiller User Ratings on G2
9.0
Ease of Use
pdfFiller User Ratings on G2
Follow the guidelines below to benefit from the PDF editor's expertise:
1
Set up an account. If you are a new user, click Start Free Trial and establish a profile.
2
Simply add a document. Select Add New from your Dashboard and import a file into the system by uploading it from your device or importing it via the cloud, online, or internal mail. Then click Begin editing.
3
Edit name of gram. Replace text, adding objects, rearranging pages, and more. Then select the Documents tab to combine, divide, lock or unlock the file.
4
Save your file. Select it from your records list. Then, click the right toolbar and select one of the various exporting options: save in numerous formats, download as PDF, email, or cloud.
pdfFiller makes dealing with documents a breeze. Create an account to find out!

Uncompromising security for your PDF editing and eSignature needs

Your private information is safe with pdfFiller. We employ end-to-end encryption, secure cloud storage, and advanced access control to protect your documents and maintain regulatory compliance.
GDPR
AICPA SOC 2
PCI
HIPAA
CCPA
FDA

How to fill out name of gram

Illustration

How to fill out name of gram

01
To fill out the name of gram, follow these steps:
02
Start by writing the given name of the gram.
03
If the gram has a common name, write it next.
04
Include any additional identifying information, such as the scientific name or classification.
05
If applicable, mention any specific characteristics or features of the gram.
06
Finally, make sure to include any units of measurement or relevant details to accurately describe the gram.

Who needs name of gram?

01
Various individuals and organizations may need the name of a gram, including:
02
- Scientists conducting research or experiments involving gram measurements.
03
- Students learning about units of mass and practicing measurement conversions.
04
- Professionals working in fields related to chemistry, physics, or biology.
05
- Manufacturers or suppliers dealing with grams as a unit of weight.
06
- Individuals following a diet or fitness plan that requires tracking grams of macronutrients.
Fill form : Try Risk Free
Users Most Likely To Recommend - Summer 2025
Grid Leader in Small-Business - Summer 2025
High Performer - Summer 2025
Regional Leader - Summer 2025
Easiest To Do Business With - Summer 2025
Best Meets Requirements- Summer 2025
Rate the form
4.5
Satisfied
31 Votes

For pdfFiller’s FAQs

Below is a list of the most common customer questions. If you can’t find an answer to your question, please don’t hesitate to reach out to us.

It is possible to significantly enhance your document management and form preparation by combining pdfFiller with Google Docs. This will allow you to generate papers, amend them, and sign them straight from your Google Drive. Use the add-on to convert your name of gram into a dynamic fillable form that can be managed and signed using any internet-connected device.
When you're ready to share your name of gram, you can swiftly email it to others and receive the eSigned document back. You may send your PDF through email, fax, text message, or USPS mail, or you can notarize it online. All of this may be done without ever leaving your account.
Complete your name of gram and other papers on your Android device by using the pdfFiller mobile app. The program includes all of the necessary document management tools, such as editing content, eSigning, annotating, sharing files, and so on. You will be able to view your papers at any time as long as you have an internet connection.
Name of gram is a form used to report certain information to authorities.
Entities and individuals as per regulatory requirements are required to file name of gram.
Name of gram form can be filled out online or submitted in person at designated locations.
The purpose of name of gram is to track and monitor certain activities for regulatory compliance.
Information such as transaction details, parties involved, and purpose of transactions must be reported on name of gram.
Fill out your name of gram online with pdfFiller!

pdfFiller is an end-to-end solution for managing, creating, and editing documents and forms in the cloud. Save time and hassle by preparing your tax forms online.

Get started now
Form preview
If you believe that this page should be taken down, please follow our DMCA take down process here .
This form may include fields for payment information. Data entered in these fields is not covered by PCI DSS compliance.