
Get the free OPM TMAS SOO Template
Show details
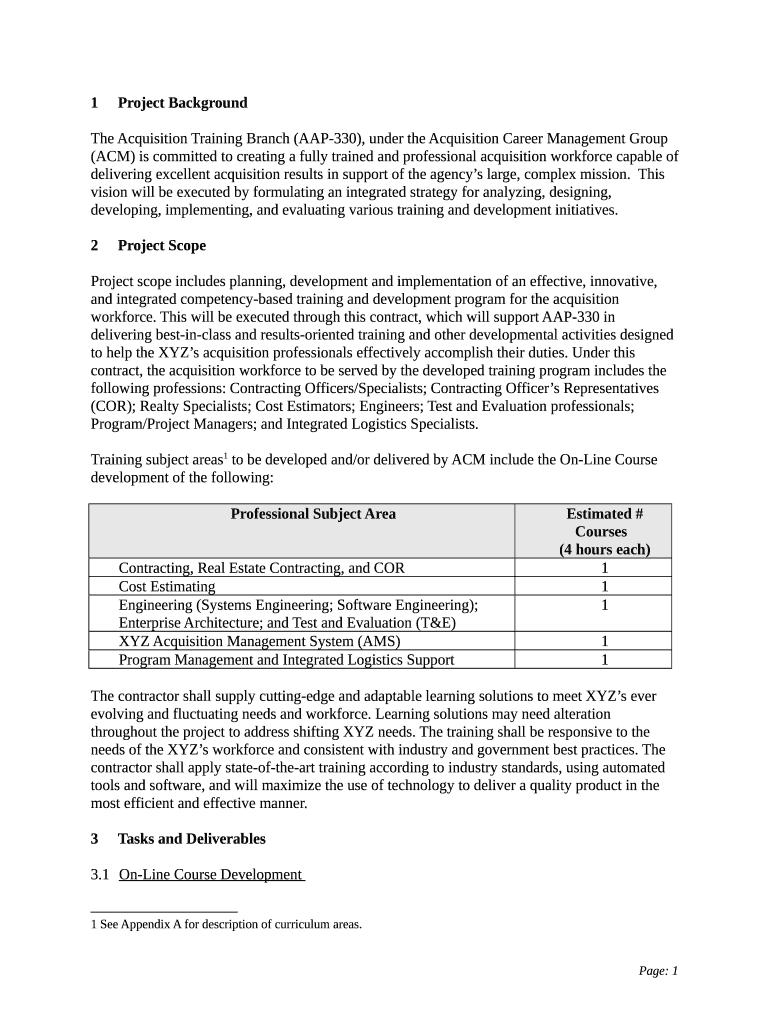
1Project Background Acquisition Training Branch (AAP330), under the Acquisition Career Management Group
(ACM) is committed to creating a fully trained and professional acquisition workforce capable
We are not affiliated with any brand or entity on this form
Get, Create, Make and Sign opm tmas soo template

Edit your opm tmas soo template form online
Type text, complete fillable fields, insert images, highlight or blackout data for discretion, add comments, and more.

Add your legally-binding signature
Draw or type your signature, upload a signature image, or capture it with your digital camera.

Share your form instantly
Email, fax, or share your opm tmas soo template form via URL. You can also download, print, or export forms to your preferred cloud storage service.
How to edit opm tmas soo template online
In order to make advantage of the professional PDF editor, follow these steps:
1
Set up an account. If you are a new user, click Start Free Trial and establish a profile.
2
Simply add a document. Select Add New from your Dashboard and import a file into the system by uploading it from your device or importing it via the cloud, online, or internal mail. Then click Begin editing.
3
Edit opm tmas soo template. Text may be added and replaced, new objects can be included, pages can be rearranged, watermarks and page numbers can be added, and so on. When you're done editing, click Done and then go to the Documents tab to combine, divide, lock, or unlock the file.
4
Get your file. Select the name of your file in the docs list and choose your preferred exporting method. You can download it as a PDF, save it in another format, send it by email, or transfer it to the cloud.
With pdfFiller, it's always easy to work with documents.
Uncompromising security for your PDF editing and eSignature needs
Your private information is safe with pdfFiller. We employ end-to-end encryption, secure cloud storage, and advanced access control to protect your documents and maintain regulatory compliance.
How to fill out opm tmas soo template

How to fill out opm tmas soo template
01
Start by gathering all the necessary information for filling out the template. This includes the employee's personal details, job description, performance goals, and supporting documentation.
02
Open the OPM TMAS SOO template and locate the first section, which usually covers the employee's personal information. Fill in the required fields such as name, position, and contact details.
03
Proceed to the next section, which focuses on the employee's job description and duties. Provide a detailed and accurate description of the employee's responsibilities, ensuring it aligns with their official job duties.
04
Move on to the performance goals section. Here, list down the specific objectives and targets that the employee is expected to achieve within the evaluation period. Make sure these goals are measurable, attainable, relevant, and time-bound (SMART).
05
Include any supporting documentation or evidence relevant to the employee's performance. This may include performance metrics, feedback from supervisors or colleagues, and any relevant training or certifications.
06
Review the completed template for accuracy, completeness, and clarity. Make any necessary edits or revisions before finalizing it.
07
Save the filled-out OPM TMAS SOO template in the appropriate format (e.g., PDF) and submit it according to the designated process or to the relevant authority.
Who needs opm tmas soo template?
01
The OPM TMAS SOO template is typically needed by federal employees or those working in government agencies who are required to undergo performance evaluations based on the Talent Management Alignment System (TMAS). This template provides a standardized framework for assessing and documenting an employee's performance and goals.
Fill
form
: Try Risk Free
For pdfFiller’s FAQs
Below is a list of the most common customer questions. If you can’t find an answer to your question, please don’t hesitate to reach out to us.
How do I modify my opm tmas soo template in Gmail?
The pdfFiller Gmail add-on lets you create, modify, fill out, and sign opm tmas soo template and other documents directly in your email. Click here to get pdfFiller for Gmail. Eliminate tedious procedures and handle papers and eSignatures easily.
How can I send opm tmas soo template for eSignature?
Once your opm tmas soo template is complete, you can securely share it with recipients and gather eSignatures with pdfFiller in just a few clicks. You may transmit a PDF by email, text message, fax, USPS mail, or online notarization directly from your account. Make an account right now and give it a go.
How do I edit opm tmas soo template online?
With pdfFiller, it's easy to make changes. Open your opm tmas soo template in the editor, which is very easy to use and understand. When you go there, you'll be able to black out and change text, write and erase, add images, draw lines, arrows, and more. You can also add sticky notes and text boxes.
What is opm tmas soo template?
The OPM TMAS SOO template is a standardized form used by federal agencies to report on their Telework Management Analysis System.
Who is required to file opm tmas soo template?
All federal agencies are required to file the OPM TMAS SOO template.
How to fill out opm tmas soo template?
The OPM TMAS SOO template can be filled out online through the OPM website or by using the provided paper form.
What is the purpose of opm tmas soo template?
The purpose of the OPM TMAS SOO template is to collect data on telework participation and the impact of telework programs within federal agencies.
What information must be reported on opm tmas soo template?
The OPM TMAS SOO template requires information on telework agreements, telework eligibility, telework hours worked, and telework program successes and challenges.
Fill out your opm tmas soo template online with pdfFiller!
pdfFiller is an end-to-end solution for managing, creating, and editing documents and forms in the cloud. Save time and hassle by preparing your tax forms online.

Opm Tmas Soo Template is not the form you're looking for?Search for another form here.
Relevant keywords
Related Forms
If you believe that this page should be taken down, please follow our DMCA take down process
here
.
This form may include fields for payment information. Data entered in these fields is not covered by PCI DSS compliance.