
Get the free NO LEASE AMENDMENT OR ATTACHMENT CAN BE SIGNED BEFORE THEY HAVE
Show details
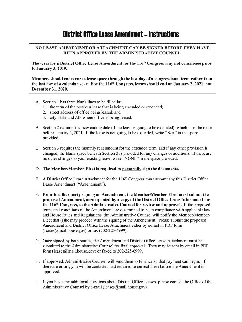
Clear Footprint Form Save Redistrict Office Lease Amendment Instructions NO LEASE AMENDMENT OR ATTACHMENT CAN BE SIGNED BEFORE THEY HAVE BEEN APPROVED BY THE ADMINISTRATIVE COUNSEL. The term for a
We are not affiliated with any brand or entity on this form
Get, Create, Make and Sign no lease amendment or

Edit your no lease amendment or form online
Type text, complete fillable fields, insert images, highlight or blackout data for discretion, add comments, and more.

Add your legally-binding signature
Draw or type your signature, upload a signature image, or capture it with your digital camera.

Share your form instantly
Email, fax, or share your no lease amendment or form via URL. You can also download, print, or export forms to your preferred cloud storage service.
Editing no lease amendment or online
To use our professional PDF editor, follow these steps:
1
Create an account. Begin by choosing Start Free Trial and, if you are a new user, establish a profile.
2
Prepare a file. Use the Add New button. Then upload your file to the system from your device, importing it from internal mail, the cloud, or by adding its URL.
3
Edit no lease amendment or. Add and replace text, insert new objects, rearrange pages, add watermarks and page numbers, and more. Click Done when you are finished editing and go to the Documents tab to merge, split, lock or unlock the file.
4
Save your file. Select it in the list of your records. Then, move the cursor to the right toolbar and choose one of the available exporting methods: save it in multiple formats, download it as a PDF, send it by email, or store it in the cloud.
pdfFiller makes dealing with documents a breeze. Create an account to find out!
Uncompromising security for your PDF editing and eSignature needs
Your private information is safe with pdfFiller. We employ end-to-end encryption, secure cloud storage, and advanced access control to protect your documents and maintain regulatory compliance.
Fill
form
: Try Risk Free
For pdfFiller’s FAQs
Below is a list of the most common customer questions. If you can’t find an answer to your question, please don’t hesitate to reach out to us.
How do I modify my no lease amendment or in Gmail?
It's easy to use pdfFiller's Gmail add-on to make and edit your no lease amendment or and any other documents you get right in your email. You can also eSign them. Take a look at the Google Workspace Marketplace and get pdfFiller for Gmail. Get rid of the time-consuming steps and easily manage your documents and eSignatures with the help of an app.
How can I modify no lease amendment or without leaving Google Drive?
People who need to keep track of documents and fill out forms quickly can connect PDF Filler to their Google Docs account. This means that they can make, edit, and sign documents right from their Google Drive. Make your no lease amendment or into a fillable form that you can manage and sign from any internet-connected device with this add-on.
How do I edit no lease amendment or straight from my smartphone?
You can easily do so with pdfFiller's apps for iOS and Android devices, which can be found at the Apple Store and the Google Play Store, respectively. You can use them to fill out PDFs. We have a website where you can get the app, but you can also get it there. When you install the app, log in, and start editing no lease amendment or, you can start right away.
What is no lease amendment or?
No lease amendment refers to a document that states there are no changes to the existing lease agreement.
Who is required to file no lease amendment or?
The landlord or tenant may be required to file a no lease amendment if there are no changes to the existing lease agreement.
How to fill out no lease amendment or?
To fill out a no lease amendment, simply state that there are no changes to the existing lease agreement and sign the document.
What is the purpose of no lease amendment or?
The purpose of a no lease amendment is to officially document that there are no changes to the existing lease agreement.
What information must be reported on no lease amendment or?
The no lease amendment must include the names of the parties involved, the address of the property, and a statement confirming that no changes have been made to the existing lease agreement.
Fill out your no lease amendment or online with pdfFiller!
pdfFiller is an end-to-end solution for managing, creating, and editing documents and forms in the cloud. Save time and hassle by preparing your tax forms online.

No Lease Amendment Or is not the form you're looking for?Search for another form here.
Relevant keywords
Related Forms
If you believe that this page should be taken down, please follow our DMCA take down process
here
.
This form may include fields for payment information. Data entered in these fields is not covered by PCI DSS compliance.