Get the free Non-Affiliate Representation Letter
Show details
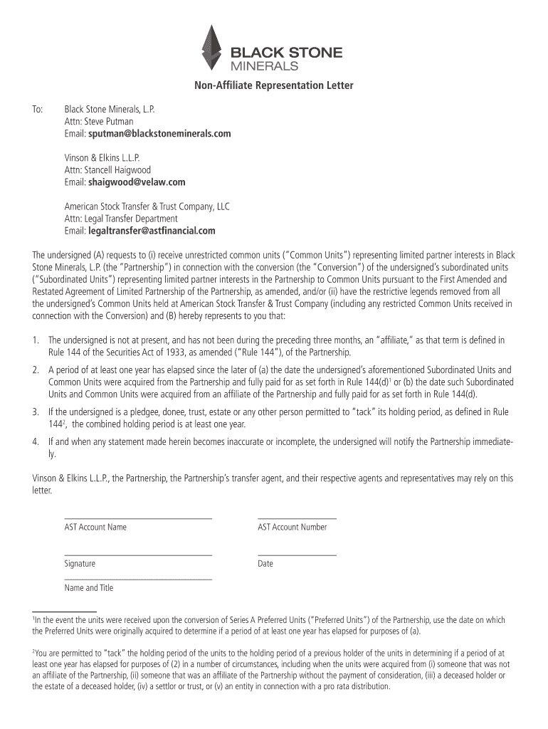
Affiliate Representation Letter To:Black Stone Minerals, L.P. Attn: Steve PutmanEmail: stuntman blackstoneminerals.com Vinson & Elkins L.L.P. Attn: Stan cell HaigwoodEmail: hardwood velar.com American
We are not affiliated with any brand or entity on this form
Get, Create, Make and Sign non-affiliate representation letter
Edit your non-affiliate representation letter form online
Type text, complete fillable fields, insert images, highlight or blackout data for discretion, add comments, and more.
Add your legally-binding signature
Draw or type your signature, upload a signature image, or capture it with your digital camera.
Share your form instantly
Email, fax, or share your non-affiliate representation letter form via URL. You can also download, print, or export forms to your preferred cloud storage service.
How to edit non-affiliate representation letter online
Use the instructions below to start using our professional PDF editor:
1
Set up an account. If you are a new user, click Start Free Trial and establish a profile.
2
Simply add a document. Select Add New from your Dashboard and import a file into the system by uploading it from your device or importing it via the cloud, online, or internal mail. Then click Begin editing.
3
Edit non-affiliate representation letter. Add and change text, add new objects, move pages, add watermarks and page numbers, and more. Then click Done when you're done editing and go to the Documents tab to merge or split the file. If you want to lock or unlock the file, click the lock or unlock button.
4
Get your file. Select the name of your file in the docs list and choose your preferred exporting method. You can download it as a PDF, save it in another format, send it by email, or transfer it to the cloud.
It's easier to work with documents with pdfFiller than you could have believed. You may try it out for yourself by signing up for an account.
Uncompromising security for your PDF editing and eSignature needs
Your private information is safe with pdfFiller. We employ end-to-end encryption, secure cloud storage, and advanced access control to protect your documents and maintain regulatory compliance.
Fill
form
: Try Risk Free
For pdfFiller’s FAQs
Below is a list of the most common customer questions. If you can’t find an answer to your question, please don’t hesitate to reach out to us.
Can I sign the non-affiliate representation letter electronically in Chrome?
Yes, you can. With pdfFiller, you not only get a feature-rich PDF editor and fillable form builder but a powerful e-signature solution that you can add directly to your Chrome browser. Using our extension, you can create your legally-binding eSignature by typing, drawing, or capturing a photo of your signature using your webcam. Choose whichever method you prefer and eSign your non-affiliate representation letter in minutes.
How do I complete non-affiliate representation letter on an iOS device?
pdfFiller has an iOS app that lets you fill out documents on your phone. A subscription to the service means you can make an account or log in to one you already have. As soon as the registration process is done, upload your non-affiliate representation letter. You can now use pdfFiller's more advanced features, like adding fillable fields and eSigning documents, as well as accessing them from any device, no matter where you are in the world.
How do I complete non-affiliate representation letter on an Android device?
On Android, use the pdfFiller mobile app to finish your non-affiliate representation letter. Adding, editing, deleting text, signing, annotating, and more are all available with the app. All you need is a smartphone and internet.
What is non-affiliate representation letter?
A non-affiliate representation letter is a document that confirms that an individual or entity is not affiliated with another party.
Who is required to file non-affiliate representation letter?
Individuals or entities who are involved in certain transactions or relationships where it is necessary to declare non-affiliation.
How to fill out non-affiliate representation letter?
To fill out a non-affiliate representation letter, one must provide their personal or entity details, the details of the affiliated party, and confirm non-affiliation.
What is the purpose of non-affiliate representation letter?
The purpose of a non-affiliate representation letter is to disclose any potential conflicts of interest or affiliations in a transaction.
What information must be reported on non-affiliate representation letter?
The non-affiliate representation letter must include personal or entity details, details of the transaction or relationship, and a declaration of non-affiliation.
Fill out your non-affiliate representation letter online with pdfFiller!
pdfFiller is an end-to-end solution for managing, creating, and editing documents and forms in the cloud. Save time and hassle by preparing your tax forms online.
Non-Affiliate Representation Letter is not the form you're looking for?Search for another form here.
Relevant keywords
Related Forms
If you believe that this page should be taken down, please follow our DMCA take down process
here
.
This form may include fields for payment information. Data entered in these fields is not covered by PCI DSS compliance.