Get the free Financial Assistance Application Form Financial Assistance Request ... - gshpa
Show details
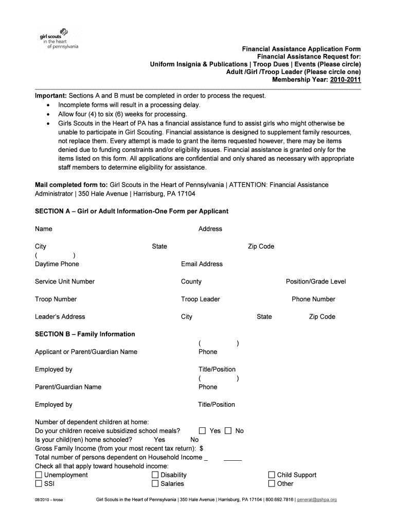
Financial Assistance Application Form
Financial Assistance Request for:
Uniform Insignia & Publications | Troop Dues | Events (Please circle)
Adult /Girl /Troop Leader (Please circle one)
Membership
We are not affiliated with any brand or entity on this form
Get, Create, Make and Sign financial assistance application form
Edit your financial assistance application form form online
Type text, complete fillable fields, insert images, highlight or blackout data for discretion, add comments, and more.
Add your legally-binding signature
Draw or type your signature, upload a signature image, or capture it with your digital camera.
Share your form instantly
Email, fax, or share your financial assistance application form form via URL. You can also download, print, or export forms to your preferred cloud storage service.
Editing financial assistance application form online
To use our professional PDF editor, follow these steps:
1
Set up an account. If you are a new user, click Start Free Trial and establish a profile.
2
Upload a file. Select Add New on your Dashboard and upload a file from your device or import it from the cloud, online, or internal mail. Then click Edit.
3
Edit financial assistance application form. Rearrange and rotate pages, insert new and alter existing texts, add new objects, and take advantage of other helpful tools. Click Done to apply changes and return to your Dashboard. Go to the Documents tab to access merging, splitting, locking, or unlocking functions.
4
Save your file. Select it from your list of records. Then, move your cursor to the right toolbar and choose one of the exporting options. You can save it in multiple formats, download it as a PDF, send it by email, or store it in the cloud, among other things.
With pdfFiller, it's always easy to work with documents. Check it out!
Uncompromising security for your PDF editing and eSignature needs
Your private information is safe with pdfFiller. We employ end-to-end encryption, secure cloud storage, and advanced access control to protect your documents and maintain regulatory compliance.
How to fill out financial assistance application form
How to Fill Out a Financial Assistance Application Form:
01
Start by carefully reading the instructions and requirements stated on the application form. Make sure you understand what documents or information you may need to gather before proceeding with the application.
02
Gather all the necessary documents and information that may be required for the application. This could include proof of income, bank statements, tax returns, identification documents, and any other relevant financial records.
03
Begin by providing your personal information accurately. This may include your full name, current address, phone number, email address, and social security number.
04
Fill out the section related to your financial situation. This typically includes providing information about your income, assets, liabilities, and any dependents you may have. Be sure to include all relevant details and provide supporting documentation where necessary.
05
If the application requires additional details or explanations regarding your financial situation, be sure to provide clear and concise responses. Use additional pages if necessary, ensuring you label and organize them properly.
06
Once all the sections related to your financial information are completed, review the form to make sure there are no errors or missing information. This step is crucial to avoid any delays or complications with your application.
07
Depending on the application, you may need to provide additional information or documentation related to your specific circumstances. For example, if you are applying for medical financial assistance, you may need to attach medical bills or statements.
08
Finally, sign and date the application form where required. Make a copy of the completed form and any accompanying documents for your records. Submit the application according to the instructions provided, ensuring it reaches the designated recipient by the specified deadline.
Who Needs a Financial Assistance Application Form:
01
Individuals or families who are facing financial hardship and require support to meet their basic needs may need to fill out a financial assistance application form. This could include individuals struggling with unemployment, low-earning individuals, single parents, elderly individuals, or families affected by unforeseen circumstances.
02
Students pursuing higher education may also need to complete financial assistance application forms to seek financial aid for tuition fees, books, and living expenses.
03
Patients who are unable to afford necessary medical treatments or medications may need to apply for financial assistance through specific healthcare programs, hospitals, or charitable organizations.
04
Businesses, particularly small businesses, that require financial assistance to start or expand their operations may also need to complete financial assistance application forms to access grants, loans, or other assistance programs.
Remember, the eligibility criteria and requirements for financial assistance may vary depending on the specific program or organization providing the assistance. It is important to carefully research and understand the guidelines before completing the application form to ensure you meet the necessary criteria and provide accurate information.
Fill
form
: Try Risk Free
For pdfFiller’s FAQs
Below is a list of the most common customer questions. If you can’t find an answer to your question, please don’t hesitate to reach out to us.
Can I create an electronic signature for the financial assistance application form in Chrome?
Yes. By adding the solution to your Chrome browser, you can use pdfFiller to eSign documents and enjoy all of the features of the PDF editor in one place. Use the extension to create a legally-binding eSignature by drawing it, typing it, or uploading a picture of your handwritten signature. Whatever you choose, you will be able to eSign your financial assistance application form in seconds.
Can I create an electronic signature for signing my financial assistance application form in Gmail?
It's easy to make your eSignature with pdfFiller, and then you can sign your financial assistance application form right from your Gmail inbox with the help of pdfFiller's add-on for Gmail. This is a very important point: You must sign up for an account so that you can save your signatures and signed documents.
How do I fill out financial assistance application form using my mobile device?
You can easily create and fill out legal forms with the help of the pdfFiller mobile app. Complete and sign financial assistance application form and other documents on your mobile device using the application. Visit pdfFiller’s webpage to learn more about the functionalities of the PDF editor.
What is financial assistance application form?
Financial assistance application form is a document used to apply for financial help or aid from an organization or government entity.
Who is required to file financial assistance application form?
Individuals or businesses who are in need of financial help or aid are required to file a financial assistance application form.
How to fill out financial assistance application form?
To fill out a financial assistance application form, one must provide accurate and detailed information about their financial situation and needs.
What is the purpose of financial assistance application form?
The purpose of a financial assistance application form is to determine the eligibility of the applicant for financial aid or assistance.
What information must be reported on financial assistance application form?
Information such as income, expenses, assets, liabilities, and reason for seeking financial assistance must be reported on the form.
Fill out your financial assistance application form online with pdfFiller!
pdfFiller is an end-to-end solution for managing, creating, and editing documents and forms in the cloud. Save time and hassle by preparing your tax forms online.
Financial Assistance Application Form is not the form you're looking for?Search for another form here.
Relevant keywords
Related Forms
If you believe that this page should be taken down, please follow our DMCA take down process
here
.
This form may include fields for payment information. Data entered in these fields is not covered by PCI DSS compliance.