Get the free Financial Assistance Request for: - gshpa
Show details
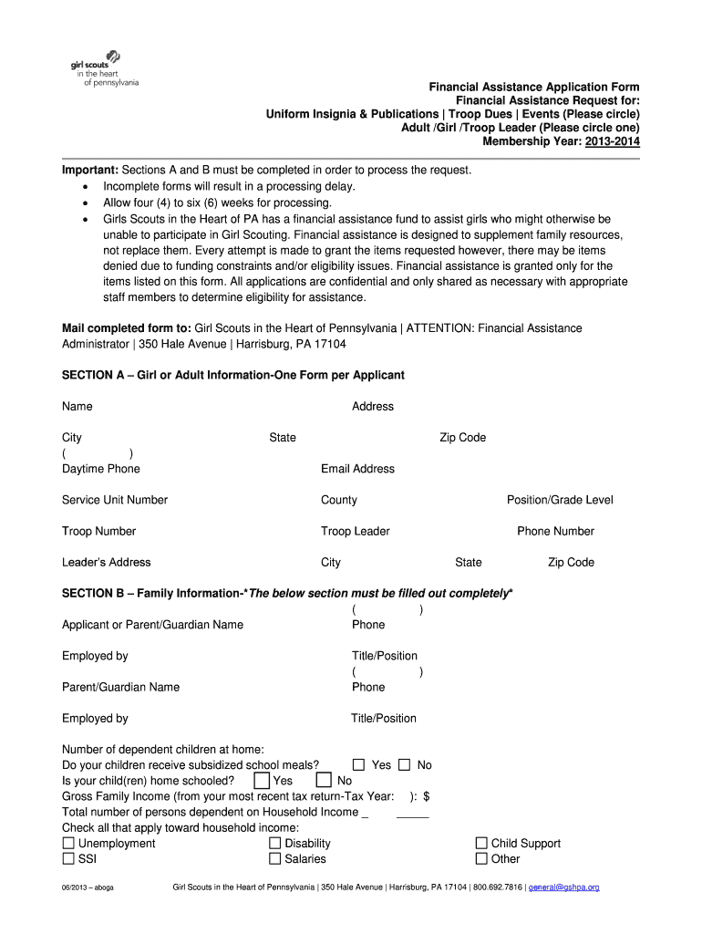
Financial Assistance Application Form
Financial Assistance Request for:
Uniform Insignia & Publications | Troop Dues | Events (Please circle)
Adult /Girl /Troop Leader (Please circle one)
Membership
We are not affiliated with any brand or entity on this form
Get, Create, Make and Sign financial assistance request for
Edit your financial assistance request for form online
Type text, complete fillable fields, insert images, highlight or blackout data for discretion, add comments, and more.
Add your legally-binding signature
Draw or type your signature, upload a signature image, or capture it with your digital camera.
Share your form instantly
Email, fax, or share your financial assistance request for form via URL. You can also download, print, or export forms to your preferred cloud storage service.
How to edit financial assistance request for online
Here are the steps you need to follow to get started with our professional PDF editor:
1
Check your account. If you don't have a profile yet, click Start Free Trial and sign up for one.
2
Upload a document. Select Add New on your Dashboard and transfer a file into the system in one of the following ways: by uploading it from your device or importing from the cloud, web, or internal mail. Then, click Start editing.
3
Edit financial assistance request for. Add and change text, add new objects, move pages, add watermarks and page numbers, and more. Then click Done when you're done editing and go to the Documents tab to merge or split the file. If you want to lock or unlock the file, click the lock or unlock button.
4
Get your file. Select your file from the documents list and pick your export method. You may save it as a PDF, email it, or upload it to the cloud.
pdfFiller makes dealing with documents a breeze. Create an account to find out!
Uncompromising security for your PDF editing and eSignature needs
Your private information is safe with pdfFiller. We employ end-to-end encryption, secure cloud storage, and advanced access control to protect your documents and maintain regulatory compliance.
How to fill out financial assistance request for
How to fill out a financial assistance request form:
01
Start by gathering all the necessary documentation, such as proof of income, bank statements, and any bills or expenses that you need assistance with. This will help you accurately fill out the form and provide all the required information.
02
Read through the form carefully, paying attention to any specific instructions or requirements outlined. Make sure you understand the eligibility criteria and any supporting documents that need to be provided.
03
Begin by filling out your personal information, including your name, address, contact details, and social security number. Provide accurate and up-to-date information to avoid any delays or complications.
04
Clearly state the purpose of your financial assistance request. Whether it is for medical bills, education expenses, housing needs, or any other relevant reason, make sure to explain your situation briefly but concisely.
05
Provide details about your financial situation, including your income, expenses, and assets. Be thorough and include all relevant information, as this will help the reviewing entity assess your need for assistance.
06
If applicable, indicate any additional sources of income or benefits you receive, such as unemployment benefits, disability payments, or child support. It is important to disclose all income sources to provide a complete picture of your financial situation.
07
Attach all the required supporting documents, such as income statements, utility bills, or medical invoices. Make sure to include copies rather than originals as these may not be returned to you.
08
Review the form thoroughly before submitting it. Check for any errors or missing information, and make any necessary corrections. It may be helpful to have someone else review the form as well to ensure accuracy and completeness.
Who needs a financial assistance request form:
01
Individuals facing financial hardships due to unexpected medical expenses or surgeries.
02
Students seeking assistance with educational expenses, including tuition fees, books, and living costs.
03
Families or individuals experiencing economic hardships who are struggling to cover basic necessities such as housing, food, or utilities.
04
Low-income individuals or households who are unable to afford essential healthcare services or medications.
05
Entrepreneurs or small business owners who need financial assistance to start or expand their business activities.
06
Non-profit organizations or community programs that require funding to support their initiatives and carry out their mission.
07
Victims of natural disasters, accidents, or other unforeseen events that have resulted in financial burdens.
08
Individuals with special needs or disabilities who require financial assistance for adaptive equipment, therapies, or treatments.
Fill
form
: Try Risk Free
For pdfFiller’s FAQs
Below is a list of the most common customer questions. If you can’t find an answer to your question, please don’t hesitate to reach out to us.
How can I manage my financial assistance request for directly from Gmail?
Using pdfFiller's Gmail add-on, you can edit, fill out, and sign your financial assistance request for and other papers directly in your email. You may get it through Google Workspace Marketplace. Make better use of your time by handling your papers and eSignatures.
How do I fill out the financial assistance request for form on my smartphone?
You can quickly make and fill out legal forms with the help of the pdfFiller app on your phone. Complete and sign financial assistance request for and other documents on your mobile device using the application. If you want to learn more about how the PDF editor works, go to pdfFiller.com.
How do I complete financial assistance request for on an Android device?
Use the pdfFiller app for Android to finish your financial assistance request for. The application lets you do all the things you need to do with documents, like add, edit, and remove text, sign, annotate, and more. There is nothing else you need except your smartphone and an internet connection to do this.
What is financial assistance request for?
Financial assistance request is for individuals or organizations to request help with their financial needs.
Who is required to file financial assistance request for?
Anyone who needs financial help can file a financial assistance request.
How to fill out financial assistance request for?
To fill out a financial assistance request, you need to provide information about your financial situation and needs.
What is the purpose of financial assistance request for?
The purpose of a financial assistance request is to receive help with financial needs that cannot be met on your own.
What information must be reported on financial assistance request for?
Information such as income, expenses, assets, and debts must be reported on a financial assistance request.
Fill out your financial assistance request for online with pdfFiller!
pdfFiller is an end-to-end solution for managing, creating, and editing documents and forms in the cloud. Save time and hassle by preparing your tax forms online.
Financial Assistance Request For is not the form you're looking for?Search for another form here.
Relevant keywords
Related Forms
If you believe that this page should be taken down, please follow our DMCA take down process
here
.
This form may include fields for payment information. Data entered in these fields is not covered by PCI DSS compliance.