Get the free IN CONSIDERATION of my minor child / ward being permitted to participate in any way ...
Show details
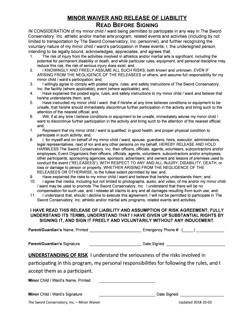
MINOR WAIVER AND RELEASE OF LIABILITYREAD BEFORE SIGNING
IN CONSIDERATION of my minor child / ward being permitted to participate in any way in The Sword
Conservatory, Inc. athletic and/or martial
We are not affiliated with any brand or entity on this form
Get, Create, Make and Sign in consideration of my
Edit your in consideration of my form online
Type text, complete fillable fields, insert images, highlight or blackout data for discretion, add comments, and more.
Add your legally-binding signature
Draw or type your signature, upload a signature image, or capture it with your digital camera.
Share your form instantly
Email, fax, or share your in consideration of my form via URL. You can also download, print, or export forms to your preferred cloud storage service.
Editing in consideration of my online
To use the services of a skilled PDF editor, follow these steps below:
1
Register the account. Begin by clicking Start Free Trial and create a profile if you are a new user.
2
Simply add a document. Select Add New from your Dashboard and import a file into the system by uploading it from your device or importing it via the cloud, online, or internal mail. Then click Begin editing.
3
Edit in consideration of my. Rearrange and rotate pages, add and edit text, and use additional tools. To save changes and return to your Dashboard, click Done. The Documents tab allows you to merge, divide, lock, or unlock files.
4
Get your file. Select your file from the documents list and pick your export method. You may save it as a PDF, email it, or upload it to the cloud.
With pdfFiller, it's always easy to work with documents. Try it!
Uncompromising security for your PDF editing and eSignature needs
Your private information is safe with pdfFiller. We employ end-to-end encryption, secure cloud storage, and advanced access control to protect your documents and maintain regulatory compliance.
How to fill out in consideration of my
How to fill out in consideration of my
01
To fill out the form in consideration of yourself, follow these steps:
02
Begin by reading all the instructions provided on the form.
03
Gather all the necessary information and documents that are required to complete the form.
04
Start by filling out your personal details such as your name, address, contact information, and any other relevant information.
05
Carefully review each section of the form and provide accurate and complete answers.
06
If there are any specific instructions or guidelines mentioned, make sure to follow them accordingly.
07
Double-check your entries before submitting the form to ensure accuracy.
08
If there are any additional documents or signatures required, attach them to the form as instructed.
09
Once you have completed filling out the entire form, review it once again to ensure everything is filled out correctly.
10
Submit the form as per the provided instructions, either by mail, online submission, or in person.
11
Keep a copy of the filled-out form for your records.
Who needs in consideration of my?
01
The form in consideration of yourself may be needed by various individuals or organizations. Some examples include:
02
- Individuals applying for government benefits or assistance programs
03
- Students applying for scholarships or financial aid
04
- Job seekers filling out job applications
05
- Individuals applying for a loan or mortgage
06
- Patients filling out medical history or patient information forms
07
- Taxpayers completing tax forms
08
- Applicants for various licenses or permits
09
- Customers filling out feedback or complaint forms
10
- Legal entities or individuals filling out legal documents
Fill
form
: Try Risk Free
For pdfFiller’s FAQs
Below is a list of the most common customer questions. If you can’t find an answer to your question, please don’t hesitate to reach out to us.
How do I execute in consideration of my online?
pdfFiller makes it easy to finish and sign in consideration of my online. It lets you make changes to original PDF content, highlight, black out, erase, and write text anywhere on a page, legally eSign your form, and more, all from one place. Create a free account and use the web to keep track of professional documents.
How do I edit in consideration of my straight from my smartphone?
You can do so easily with pdfFiller’s applications for iOS and Android devices, which can be found at the Apple Store and Google Play Store, respectively. Alternatively, you can get the app on our web page: https://edit-pdf-ios-android.pdffiller.com/. Install the application, log in, and start editing in consideration of my right away.
Can I edit in consideration of my on an Android device?
You can make any changes to PDF files, like in consideration of my, with the help of the pdfFiller Android app. Edit, sign, and send documents right from your phone or tablet. You can use the app to make document management easier wherever you are.
What is in consideration of my?
In consideration of you refers to taking your needs, wants, and feelings into account.
Who is required to file in consideration of my?
Anyone who is involved in a decision or action that affects you may have to file in consideration of you.
How to fill out in consideration of my?
You can fill out in consideration of you by carefully thinking about how the decision or action will impact you and providing relevant information.
What is the purpose of in consideration of my?
The purpose of in consideration of you is to ensure that your needs, wants, and feelings are taken into account in decision-making processes.
What information must be reported on in consideration of my?
Information such as your preferences, concerns, and any potential impact on you should be reported in consideration of you.
Fill out your in consideration of my online with pdfFiller!
pdfFiller is an end-to-end solution for managing, creating, and editing documents and forms in the cloud. Save time and hassle by preparing your tax forms online.
In Consideration Of My is not the form you're looking for?Search for another form here.
Relevant keywords
Related Forms
If you believe that this page should be taken down, please follow our DMCA take down process
here
.
This form may include fields for payment information. Data entered in these fields is not covered by PCI DSS compliance.