Get the free Sample Format for Memorandum of Association 1 Name of the Society - legalissuesforngos
Show details
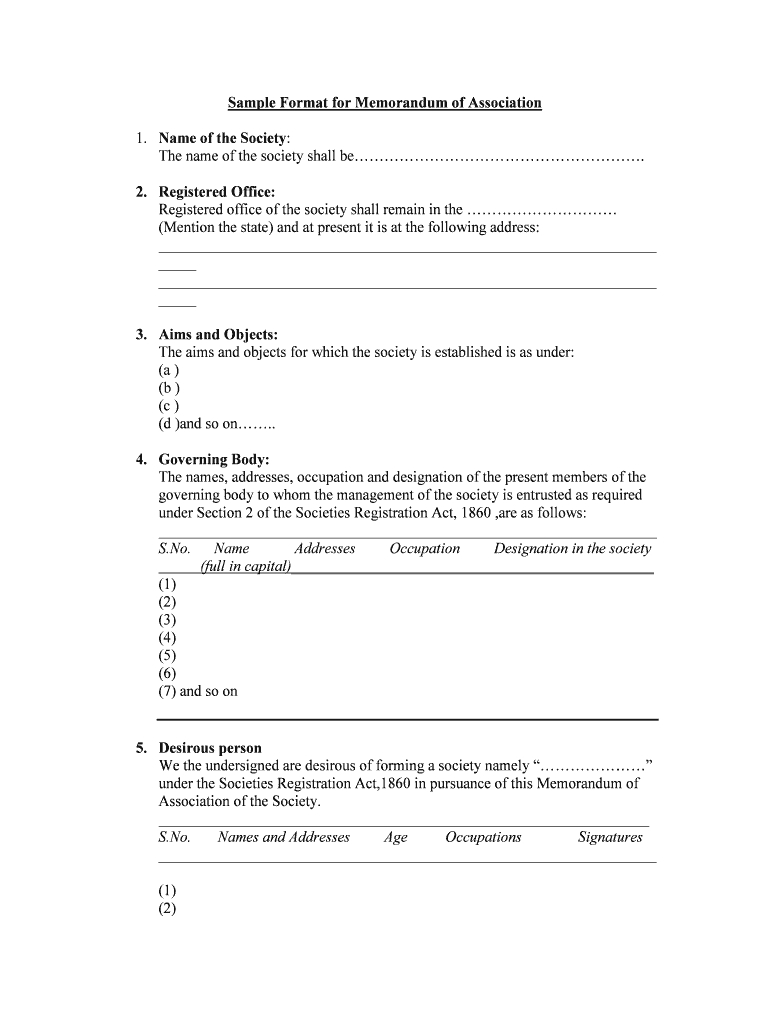
Sample Format for Memorandum of Association 1. Name of the Society: The name of the society shall be. 2. Registered Office: Registered office of the society shall remain in the (Mention the state)
We are not affiliated with any brand or entity on this form
Get, Create, Make and Sign sample format for memorandum
Edit your sample format for memorandum form online
Type text, complete fillable fields, insert images, highlight or blackout data for discretion, add comments, and more.
Add your legally-binding signature
Draw or type your signature, upload a signature image, or capture it with your digital camera.
Share your form instantly
Email, fax, or share your sample format for memorandum form via URL. You can also download, print, or export forms to your preferred cloud storage service.
How to edit sample format for memorandum online
Follow the steps down below to benefit from a competent PDF editor:
1
Check your account. It's time to start your free trial.
2
Prepare a file. Use the Add New button. Then upload your file to the system from your device, importing it from internal mail, the cloud, or by adding its URL.
3
Edit sample format for memorandum. Add and replace text, insert new objects, rearrange pages, add watermarks and page numbers, and more. Click Done when you are finished editing and go to the Documents tab to merge, split, lock or unlock the file.
4
Save your file. Select it from your records list. Then, click the right toolbar and select one of the various exporting options: save in numerous formats, download as PDF, email, or cloud.
It's easier to work with documents with pdfFiller than you can have believed. You may try it out for yourself by signing up for an account.
Uncompromising security for your PDF editing and eSignature needs
Your private information is safe with pdfFiller. We employ end-to-end encryption, secure cloud storage, and advanced access control to protect your documents and maintain regulatory compliance.
How to fill out sample format for memorandum
Steps to fill out a sample format for a memorandum:
01
Heading: Start by including a heading at the top of the memorandum. Include the words "MEMORANDUM" or "MEMO" in capital letters to clearly indicate the document's purpose. Also, include the date and the subject of the memorandum.
02
Recipients: List the names or titles of the individuals or departments who should receive the memorandum. This section should be labeled "To:", "Cc:" (if applicable), and "From:" (your name or department).
03
Introduction: Begin the body of the memorandum with a clear and concise introduction. Clearly state the purpose or objective of the memorandum, providing any necessary background information.
04
Main points: Present the main points or content of the memorandum in a logical and organized manner. Use short paragraphs or bullet points to make it easier to read and understand. Ensure that the information provided is accurate, complete, and relevant.
05
Conclusion: Conclude the memorandum by summarizing the key points or actions required. If necessary, include a call to action or any follow-up measures that need to be taken.
06
Signature: Sign the memorandum at the bottom. Your signature indicates that you have read and approved the contents of the document. If it is a memorandum from a department or organization, the signature should be that of the person in charge or authorized to send the memorandum.
Who needs a sample format for a memorandum?
01
Professionals: Professionals in various fields, such as business, government, education, or healthcare, may need a sample format for a memorandum. They may use memos to communicate important information, make announcements, request action, or provide updates.
02
Students: Students who are learning about professional communication or are required to write memos as part of their coursework might benefit from having a sample format to guide them. Understanding how to structure a memorandum can help students effectively convey information or seek clarification from their professors or classmates.
03
Organizations: Companies, non-profit organizations, and government agencies often use memos as an internal communication tool. Having a sample format for a memorandum ensures that all employees are familiar with the expected structure and can create clear and consistent memos.
Overall, anyone who needs to communicate information, directives, or updates in a concise and efficient manner can benefit from having a sample format for a memorandum. It serves as a helpful guide to structuring this type of professional communication effectively.
Fill
form
: Try Risk Free
For pdfFiller’s FAQs
Below is a list of the most common customer questions. If you can’t find an answer to your question, please don’t hesitate to reach out to us.
How do I complete sample format for memorandum online?
Completing and signing sample format for memorandum online is easy with pdfFiller. It enables you to edit original PDF content, highlight, blackout, erase and type text anywhere on a page, legally eSign your form, and much more. Create your free account and manage professional documents on the web.
Can I create an electronic signature for signing my sample format for memorandum in Gmail?
It's easy to make your eSignature with pdfFiller, and then you can sign your sample format for memorandum right from your Gmail inbox with the help of pdfFiller's add-on for Gmail. This is a very important point: You must sign up for an account so that you can save your signatures and signed documents.
How do I fill out the sample format for memorandum form on my smartphone?
Use the pdfFiller mobile app to complete and sign sample format for memorandum on your mobile device. Visit our web page (https://edit-pdf-ios-android.pdffiller.com/) to learn more about our mobile applications, the capabilities you’ll have access to, and the steps to take to get up and running.
What is sample format for memorandum?
The sample format for memorandum typically includes a heading, date, subject, body text, and a signature block.
Who is required to file sample format for memorandum?
The sample format for memorandum is typically filed by individuals or organizations who need to communicate important information or decisions within their organization.
How to fill out sample format for memorandum?
To fill out a sample format for memorandum, ensure you include all necessary information such as the date, subject, clear and concise body text, and appropriate signatures.
What is the purpose of sample format for memorandum?
The purpose of a sample format for memorandum is to effectively communicate important information, decisions, or instructions within an organization.
What information must be reported on sample format for memorandum?
The sample format for memorandum should include the date, subject, clear and concise body text, and appropriate signatures.
Fill out your sample format for memorandum online with pdfFiller!
pdfFiller is an end-to-end solution for managing, creating, and editing documents and forms in the cloud. Save time and hassle by preparing your tax forms online.
Sample Format For Memorandum is not the form you're looking for?Search for another form here.
Relevant keywords
Related Forms
If you believe that this page should be taken down, please follow our DMCA take down process
here
.
This form may include fields for payment information. Data entered in these fields is not covered by PCI DSS compliance.