Get the free Exploring and investigating in mathematics teaching and learning - staff imsa
Show details
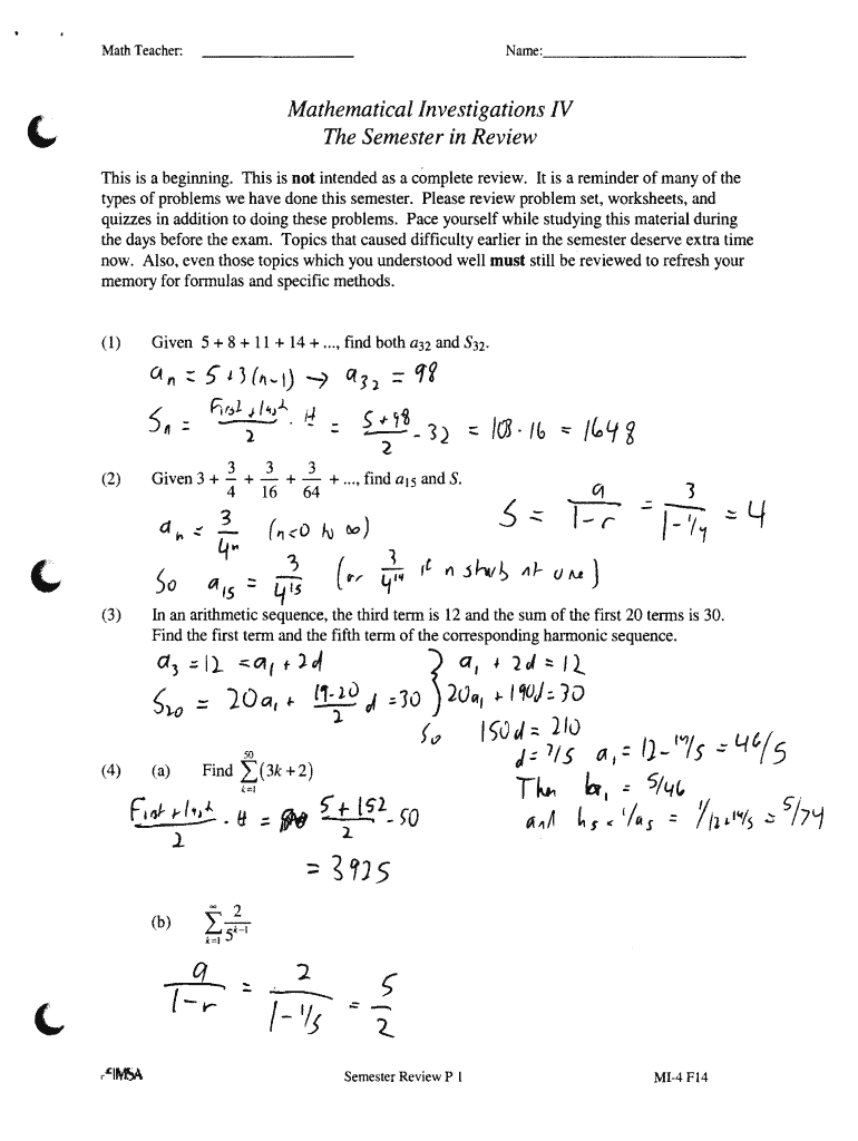
Name: Math Teacher:Mathematical Investigations The Semester in Reviews is a beginning. This is not intended as a complete review. It is a reminder of many of the types of problems we have done this
We are not affiliated with any brand or entity on this form
Get, Create, Make and Sign exploring and investigating in
Edit your exploring and investigating in form online
Type text, complete fillable fields, insert images, highlight or blackout data for discretion, add comments, and more.
Add your legally-binding signature
Draw or type your signature, upload a signature image, or capture it with your digital camera.
Share your form instantly
Email, fax, or share your exploring and investigating in form via URL. You can also download, print, or export forms to your preferred cloud storage service.
How to edit exploring and investigating in online
In order to make advantage of the professional PDF editor, follow these steps:
1
Check your account. In case you're new, it's time to start your free trial.
2
Simply add a document. Select Add New from your Dashboard and import a file into the system by uploading it from your device or importing it via the cloud, online, or internal mail. Then click Begin editing.
3
Edit exploring and investigating in. Rearrange and rotate pages, add new and changed texts, add new objects, and use other useful tools. When you're done, click Done. You can use the Documents tab to merge, split, lock, or unlock your files.
4
Get your file. When you find your file in the docs list, click on its name and choose how you want to save it. To get the PDF, you can save it, send an email with it, or move it to the cloud.
With pdfFiller, it's always easy to work with documents.
Uncompromising security for your PDF editing and eSignature needs
Your private information is safe with pdfFiller. We employ end-to-end encryption, secure cloud storage, and advanced access control to protect your documents and maintain regulatory compliance.
How to fill out exploring and investigating in
How to fill out exploring and investigating in
01
Start by gathering all the necessary tools and equipment for exploring and investigating, such as maps, compass, camera, notebook, and any other relevant items.
02
Determine the specific area or subject you would like to explore and investigate. It could be a natural park, historical site, scientific phenomenon, or any other topic of interest.
03
Conduct thorough research beforehand to gather as much information as possible about the chosen area or subject. This may involve reading books, articles, or consulting experts in the field.
04
Plan your exploration and investigation route or schedule. Decide on the duration of the activity, the number of days or weeks required, and the specific locations or sites to visit.
05
When at the chosen location, pay attention to details and observe everything carefully. Take notes, capture photographs or videos, and make sketches if necessary.
06
Use your tools and equipment effectively. For example, use a compass to navigate directions, take accurate measurements, and document your findings.
07
Analyze and interpret the collected data, photographs, and notes. Look for patterns, correlations, or any other interesting information that may emerge.
08
Draw conclusions based on your analysis and findings. Evaluate the significance or implications of your exploration and investigation.
09
Share your findings and experiences with others who might be interested. This can be done through writing reports, giving presentations, publishing articles, or sharing online.
10
Continuously update your knowledge and skills in exploring and investigating. Stay curious, seek new opportunities, and never stop learning.
Who needs exploring and investigating in?
01
Researchers and scientists who are studying different fields of knowledge can benefit from exploring and investigating. They can gather firsthand data, conduct experiments, and analyze findings to further their research.
02
Adventurers and nature enthusiasts who enjoy discovering new places and learning about the environment can find value in exploring and investigating. They can appreciate nature's beauty, document unique species, and contribute to conservation efforts.
03
Historians and archaeologists who are interested in uncovering the past can utilize exploration and investigation techniques. They can excavate historical sites, analyze artifacts, and make historical connections.
04
Students and learners of all ages can engage in exploring and investigating to enhance their knowledge and understanding of various subjects. It promotes curiosity, critical thinking, and hands-on learning.
05
Crime investigators and detectives rely heavily on exploring and investigating to solve crimes. They examine crime scenes, gather evidence, and interview witnesses to piece together the puzzle.
06
Journalists and reporters often engage in exploring and investigating to uncover stories or gather evidence for news reporting. They might investigate corruption, interview sources, and document events.
07
Businesses and organizations involved in market research, product development, or exploring new markets can use exploration and investigation methods. It helps them understand consumer behavior, identify opportunities, and make informed decisions.
Fill
form
: Try Risk Free
For pdfFiller’s FAQs
Below is a list of the most common customer questions. If you can’t find an answer to your question, please don’t hesitate to reach out to us.
How can I modify exploring and investigating in without leaving Google Drive?
It is possible to significantly enhance your document management and form preparation by combining pdfFiller with Google Docs. This will allow you to generate papers, amend them, and sign them straight from your Google Drive. Use the add-on to convert your exploring and investigating in into a dynamic fillable form that can be managed and signed using any internet-connected device.
Where do I find exploring and investigating in?
The premium pdfFiller subscription gives you access to over 25M fillable templates that you can download, fill out, print, and sign. The library has state-specific exploring and investigating in and other forms. Find the template you need and change it using powerful tools.
Can I create an eSignature for the exploring and investigating in in Gmail?
When you use pdfFiller's add-on for Gmail, you can add or type a signature. You can also draw a signature. pdfFiller lets you eSign your exploring and investigating in and other documents right from your email. In order to keep signed documents and your own signatures, you need to sign up for an account.
What is exploring and investigating in?
Exploring and investigating refers to the process of gathering information and conducting research on a particular subject.
Who is required to file exploring and investigating in?
Any individual, organization, or entity conducting research or exploration activities may be required to file exploring and investigating reports.
How to fill out exploring and investigating in?
To fill out exploring and investigating reports, one must provide detailed information about the research or exploration activities, including objectives, methodologies, and findings.
What is the purpose of exploring and investigating in?
The purpose of exploring and investigating reports is to document and disseminate findings from research or exploration activities for regulatory compliance and transparency.
What information must be reported on exploring and investigating in?
Information such as the research or exploration objectives, methodologies, data collected, analysis conducted, and conclusions must be reported on exploring and investigating.
Fill out your exploring and investigating in online with pdfFiller!
pdfFiller is an end-to-end solution for managing, creating, and editing documents and forms in the cloud. Save time and hassle by preparing your tax forms online.
Exploring And Investigating In is not the form you're looking for?Search for another form here.
Relevant keywords
Related Forms
If you believe that this page should be taken down, please follow our DMCA take down process
here
.
This form may include fields for payment information. Data entered in these fields is not covered by PCI DSS compliance.