
Get the free College Lake Integrated Resources Management Project Draft EIR
Show details
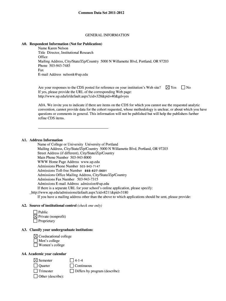
Common Data Set 20112012GENERAL INFORMATION A0. Respondent Information (Not for Publication) Name Karen Nelson Title Director, Institutional Research Office Mailing Address, City/State/Zip/Country
We are not affiliated with any brand or entity on this form
Get, Create, Make and Sign college lake integrated resources

Edit your college lake integrated resources form online
Type text, complete fillable fields, insert images, highlight or blackout data for discretion, add comments, and more.

Add your legally-binding signature
Draw or type your signature, upload a signature image, or capture it with your digital camera.

Share your form instantly
Email, fax, or share your college lake integrated resources form via URL. You can also download, print, or export forms to your preferred cloud storage service.
Editing college lake integrated resources online
To use the services of a skilled PDF editor, follow these steps below:
1
Log in to account. Click Start Free Trial and sign up a profile if you don't have one.
2
Simply add a document. Select Add New from your Dashboard and import a file into the system by uploading it from your device or importing it via the cloud, online, or internal mail. Then click Begin editing.
3
Edit college lake integrated resources. Add and replace text, insert new objects, rearrange pages, add watermarks and page numbers, and more. Click Done when you are finished editing and go to the Documents tab to merge, split, lock or unlock the file.
4
Get your file. Select the name of your file in the docs list and choose your preferred exporting method. You can download it as a PDF, save it in another format, send it by email, or transfer it to the cloud.
With pdfFiller, dealing with documents is always straightforward. Try it now!
Uncompromising security for your PDF editing and eSignature needs
Your private information is safe with pdfFiller. We employ end-to-end encryption, secure cloud storage, and advanced access control to protect your documents and maintain regulatory compliance.
How to fill out college lake integrated resources

How to fill out college lake integrated resources
01
Start by gathering all necessary documents and information, such as personal identification, academic records, and financial details.
02
Research the specific requirements and application process for College Lake Integrated Resources.
03
Begin filling out the application form, providing accurate and complete information.
04
Pay attention to any additional documents or statements required, such as personal essays or recommendation letters.
05
Double-check your application for any errors or missing information before submission.
06
Submit your application by the designated deadline, either online or through mail, following the provided instructions.
07
Await a response from College Lake Integrated Resources regarding your application status.
08
If accepted, complete any further necessary steps, such as registration or course selection.
09
If not accepted, consider alternative options and explore other educational opportunities.
10
Keep copies of all submitted documents and correspondences for future reference.
Who needs college lake integrated resources?
01
College Lake Integrated Resources is needed by students or individuals interested in pursuing higher education or vocational training through the institution.
02
It is particularly relevant to those seeking to enroll in programs or courses offered by College Lake Integrated Resources.
03
Individuals who wish to expand their knowledge, gain specialized skills, or obtain a recognized qualification may also benefit from College Lake Integrated Resources.
Fill
form
: Try Risk Free
For pdfFiller’s FAQs
Below is a list of the most common customer questions. If you can’t find an answer to your question, please don’t hesitate to reach out to us.
How do I execute college lake integrated resources online?
With pdfFiller, you may easily complete and sign college lake integrated resources online. It lets you modify original PDF material, highlight, blackout, erase, and write text anywhere on a page, legally eSign your document, and do a lot more. Create a free account to handle professional papers online.
How do I edit college lake integrated resources straight from my smartphone?
The pdfFiller apps for iOS and Android smartphones are available in the Apple Store and Google Play Store. You may also get the program at https://edit-pdf-ios-android.pdffiller.com/. Open the web app, sign in, and start editing college lake integrated resources.
How do I fill out college lake integrated resources on an Android device?
Use the pdfFiller app for Android to finish your college lake integrated resources. The application lets you do all the things you need to do with documents, like add, edit, and remove text, sign, annotate, and more. There is nothing else you need except your smartphone and an internet connection to do this.
What is college lake integrated resources?
College Lake Integrated Resources refers to a set of resources for the integration of data and information related to College Lake.
Who is required to file college lake integrated resources?
Any party responsible for managing data and information related to College Lake may be required to file College Lake Integrated Resources.
How to fill out college lake integrated resources?
To fill out College Lake Integrated Resources, one must gather all relevant data and information and input them into the specified format or system.
What is the purpose of college lake integrated resources?
The purpose of College Lake Integrated Resources is to centralize and organize data and information related to College Lake for better management and decision-making.
What information must be reported on college lake integrated resources?
Information such as water quality data, ecosystem health assessments, aquatic life monitoring results, and any relevant reports or studies may need to be reported on College Lake Integrated Resources.
Fill out your college lake integrated resources online with pdfFiller!
pdfFiller is an end-to-end solution for managing, creating, and editing documents and forms in the cloud. Save time and hassle by preparing your tax forms online.

College Lake Integrated Resources is not the form you're looking for?Search for another form here.
Relevant keywords
Related Forms
If you believe that this page should be taken down, please follow our DMCA take down process
here
.
This form may include fields for payment information. Data entered in these fields is not covered by PCI DSS compliance.