Get the free 500+ Request FormsJotForm
Show details
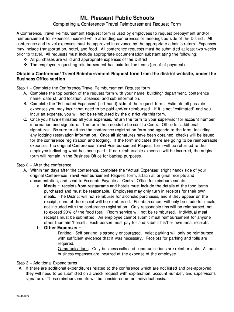
Mt. Pleasant Public Schools
Completing a Conference/Travel Reimbursement Request Form
A Conference/Travel Reimbursement Request form is used by employees to request prepayment and/or
reimbursement
We are not affiliated with any brand or entity on this form
Get, Create, Make and Sign 500 request formsjotform
Edit your 500 request formsjotform form online
Type text, complete fillable fields, insert images, highlight or blackout data for discretion, add comments, and more.
Add your legally-binding signature
Draw or type your signature, upload a signature image, or capture it with your digital camera.
Share your form instantly
Email, fax, or share your 500 request formsjotform form via URL. You can also download, print, or export forms to your preferred cloud storage service.
Editing 500 request formsjotform online
In order to make advantage of the professional PDF editor, follow these steps:
1
Log in to account. Click on Start Free Trial and sign up a profile if you don't have one.
2
Prepare a file. Use the Add New button. Then upload your file to the system from your device, importing it from internal mail, the cloud, or by adding its URL.
3
Edit 500 request formsjotform. Add and replace text, insert new objects, rearrange pages, add watermarks and page numbers, and more. Click Done when you are finished editing and go to the Documents tab to merge, split, lock or unlock the file.
4
Save your file. Select it from your list of records. Then, move your cursor to the right toolbar and choose one of the exporting options. You can save it in multiple formats, download it as a PDF, send it by email, or store it in the cloud, among other things.
With pdfFiller, it's always easy to work with documents.
Uncompromising security for your PDF editing and eSignature needs
Your private information is safe with pdfFiller. We employ end-to-end encryption, secure cloud storage, and advanced access control to protect your documents and maintain regulatory compliance.
How to fill out 500 request formsjotform
How to fill out 500 request formsjotform
01
Open the JotForm website
02
Sign in or create a new account
03
Click on 'Create Form'
04
Choose a template or start from scratch
05
Customize the form by adding fields, such as name, email, address, etc.
06
Set the validations and formatting options for each field
07
Add any additional sections or pages to the form
08
Preview the form and make any necessary adjustments
09
Save the form
10
Repeat the above steps for each request form needed
Who needs 500 request formsjotform?
01
Organizations or businesses that require multiple request forms may need 500 request forms from JotForm. This can include large companies, government agencies, universities, non-profit organizations, or any other entity that deals with a high volume of requests on a regular basis.
Fill
form
: Try Risk Free
For pdfFiller’s FAQs
Below is a list of the most common customer questions. If you can’t find an answer to your question, please don’t hesitate to reach out to us.
How can I edit 500 request formsjotform on a smartphone?
The easiest way to edit documents on a mobile device is using pdfFiller’s mobile-native apps for iOS and Android. You can download those from the Apple Store and Google Play, respectively. You can learn more about the apps here. Install and log in to the application to start editing 500 request formsjotform.
How do I edit 500 request formsjotform on an iOS device?
You certainly can. You can quickly edit, distribute, and sign 500 request formsjotform on your iOS device with the pdfFiller mobile app. Purchase it from the Apple Store and install it in seconds. The program is free, but in order to purchase a subscription or activate a free trial, you must first establish an account.
How do I edit 500 request formsjotform on an Android device?
The pdfFiller app for Android allows you to edit PDF files like 500 request formsjotform. Mobile document editing, signing, and sending. Install the app to ease document management anywhere.
What is 500 request formsjotform?
500 request formsjotform is an online platform that allows users to create, customize, and share various types of forms for collecting information or data.
Who is required to file 500 request formsjotform?
Anyone who needs to collect information or data through forms can use 500 request formsjotform. It is commonly used by businesses, organizations, and individuals.
How to fill out 500 request formsjotform?
To fill out 500 request formsjotform, users need to create an account on the platform, choose a template or create a new form, customize the form fields, and share the form with respondents.
What is the purpose of 500 request formsjotform?
The purpose of 500 request formsjotform is to simplify the process of creating and sharing forms for collecting information, feedback, survey responses, event registrations, and more.
What information must be reported on 500 request formsjotform?
The information reported on 500 request formsjotform can vary depending on the type of form created. Common fields include name, email, phone number, address, and any other relevant data.
Fill out your 500 request formsjotform online with pdfFiller!
pdfFiller is an end-to-end solution for managing, creating, and editing documents and forms in the cloud. Save time and hassle by preparing your tax forms online.
500 Request Formsjotform is not the form you're looking for?Search for another form here.
Relevant keywords
Related Forms
If you believe that this page should be taken down, please follow our DMCA take down process
here
.
This form may include fields for payment information. Data entered in these fields is not covered by PCI DSS compliance.