
Get the free About Taos Pueblo and Taos Day School
Show details
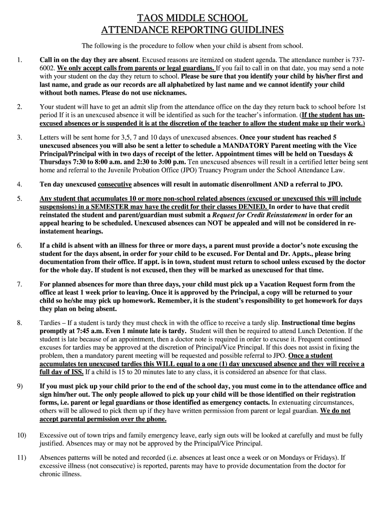
TAGS MIDDLE SCHOOL
ATTENDANCE REPORTING GUIDELINES
The following is the procedure to follow when your child is absent from school.
1. Call in on the day they are absent. Excused reasons are itemized
We are not affiliated with any brand or entity on this form
Get, Create, Make and Sign about taos pueblo and

Edit your about taos pueblo and form online
Type text, complete fillable fields, insert images, highlight or blackout data for discretion, add comments, and more.

Add your legally-binding signature
Draw or type your signature, upload a signature image, or capture it with your digital camera.

Share your form instantly
Email, fax, or share your about taos pueblo and form via URL. You can also download, print, or export forms to your preferred cloud storage service.
Editing about taos pueblo and online
Follow the guidelines below to benefit from a competent PDF editor:
1
Set up an account. If you are a new user, click Start Free Trial and establish a profile.
2
Upload a file. Select Add New on your Dashboard and upload a file from your device or import it from the cloud, online, or internal mail. Then click Edit.
3
Edit about taos pueblo and. Rearrange and rotate pages, add and edit text, and use additional tools. To save changes and return to your Dashboard, click Done. The Documents tab allows you to merge, divide, lock, or unlock files.
4
Save your file. Select it from your list of records. Then, move your cursor to the right toolbar and choose one of the exporting options. You can save it in multiple formats, download it as a PDF, send it by email, or store it in the cloud, among other things.
pdfFiller makes working with documents easier than you could ever imagine. Register for an account and see for yourself!
Uncompromising security for your PDF editing and eSignature needs
Your private information is safe with pdfFiller. We employ end-to-end encryption, secure cloud storage, and advanced access control to protect your documents and maintain regulatory compliance.
How to fill out about taos pueblo and

How to fill out about taos pueblo and
01
To fill out information about Taos Pueblo, follow these steps:
02
Start by researching and gathering relevant information about Taos Pueblo. This can include historical background, cultural significance, local events, and attractions.
03
Organize the information in a logical order, such as by categories or sections.
04
Write a brief introduction about Taos Pueblo, providing some background information and setting the context.
05
Break down the information into points or subheadings to make it easier for readers to navigate and comprehend.
06
Provide detailed information under each point, ensuring accuracy and clarity.
07
Include any important dates, facts, or statistics related to Taos Pueblo.
08
Use descriptive language and engaging content to capture the readers' interest.
09
Add relevant images or media to enhance the visual appeal and provide visual context.
10
Proofread and edit the filled-out information to eliminate any errors or typos.
11
Format the content in a visually appealing manner, using headings, bullet points, and paragraphs.
12
Finally, review the filled-out information to ensure it accurately represents Taos Pueblo and is informative to the intended audience.
Who needs about taos pueblo and?
01
Anyone interested in learning about Taos Pueblo and its cultural heritage.
02
Tourists planning to visit Taos Pueblo and seeking information about its history, traditions, and attractions.
03
Scholars or researchers studying Native American culture and history.
04
Travel organizations or agencies looking to provide comprehensive information about Taos Pueblo to their clients.
05
Students or educators studying or teaching about Native American culture and the history of Taos Pueblo.
06
Locals who want to explore and appreciate the cultural significance of Taos Pueblo in their community.
07
Artists or photographers seeking inspiration from the architecture and beauty of Taos Pueblo.
08
Historians or anthropologists interested in understanding the historical context and importance of Taos Pueblo.
09
Government bodies or organizations involved in cultural preservation and heritage protection.
Fill
form
: Try Risk Free
For pdfFiller’s FAQs
Below is a list of the most common customer questions. If you can’t find an answer to your question, please don’t hesitate to reach out to us.
How can I edit about taos pueblo and from Google Drive?
It is possible to significantly enhance your document management and form preparation by combining pdfFiller with Google Docs. This will allow you to generate papers, amend them, and sign them straight from your Google Drive. Use the add-on to convert your about taos pueblo and into a dynamic fillable form that can be managed and signed using any internet-connected device.
Can I edit about taos pueblo and on an iOS device?
Use the pdfFiller mobile app to create, edit, and share about taos pueblo and from your iOS device. Install it from the Apple Store in seconds. You can benefit from a free trial and choose a subscription that suits your needs.
Can I edit about taos pueblo and on an Android device?
With the pdfFiller Android app, you can edit, sign, and share about taos pueblo and on your mobile device from any place. All you need is an internet connection to do this. Keep your documents in order from anywhere with the help of the app!
What is about taos pueblo and?
Taos Pueblo is a Native American tribe located in New Mexico.
Who is required to file about taos pueblo and?
Any individual or entity conducting business with Taos Pueblo may be required to file.
How to fill out about taos pueblo and?
Filing instructions can typically be found on the Taos Pueblo official website or by contacting their designated office.
What is the purpose of about taos pueblo and?
The purpose is to establish and maintain a record of business transactions with Taos Pueblo.
What information must be reported on about taos pueblo and?
Information such as transaction details, dates, parties involved, and financial amounts may need to be reported.
Fill out your about taos pueblo and online with pdfFiller!
pdfFiller is an end-to-end solution for managing, creating, and editing documents and forms in the cloud. Save time and hassle by preparing your tax forms online.

About Taos Pueblo And is not the form you're looking for?Search for another form here.
Relevant keywords
Related Forms
If you believe that this page should be taken down, please follow our DMCA take down process
here
.
This form may include fields for payment information. Data entered in these fields is not covered by PCI DSS compliance.