Form preview

Get the free NIC LDC PH.docx

Get Form
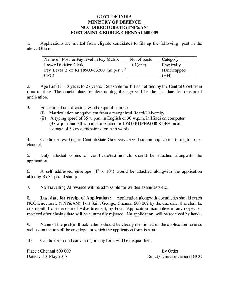
GOVT OF INDIA MINISTRY OF Defense NCC DIRECTORATE (THAN) FORT SAINT GEORGE, CHENNAI 600 009 1. Applications are invited from eligible candidates to fill up the following post in the above Office.
We are not affiliated with any brand or entity on this form

Get, Create, Make and Sign nic ldc phdocx

Edit
Edit your nic ldc phdocx form online
Type text, complete fillable fields, insert images, highlight or blackout data for discretion, add comments, and more.
Add
Add your legally-binding signature
Draw or type your signature, upload a signature image, or capture it with your digital camera.
Share
Share your form instantly
Email, fax, or share your nic ldc phdocx form via URL. You can also download, print, or export forms to your preferred cloud storage service.

How to edit nic ldc phdocx online

9.5
Ease of Setup
pdfFiller User Ratings on G2
9.0
Ease of Use
pdfFiller User Ratings on G2
In order to make advantage of the professional PDF editor, follow these steps below:
1
Create an account. Begin by choosing Start Free Trial and, if you are a new user, establish a profile.
2
Upload a file. Select Add New on your Dashboard and upload a file from your device or import it from the cloud, online, or internal mail. Then click Edit.
3
Edit nic ldc phdocx. Replace text, adding objects, rearranging pages, and more. Then select the Documents tab to combine, divide, lock or unlock the file.
4
Save your file. Choose it from the list of records. Then, shift the pointer to the right toolbar and select one of the several exporting methods: save it in multiple formats, download it as a PDF, email it, or save it to the cloud.
It's easier to work with documents with pdfFiller than you can have believed. You can sign up for an account to see for yourself.

Uncompromising security for your PDF editing and eSignature needs

Your private information is safe with pdfFiller. We employ end-to-end encryption, secure cloud storage, and advanced access control to protect your documents and maintain regulatory compliance.
GDPR
AICPA SOC 2
PCI
HIPAA
CCPA
FDA

How to fill out nic ldc phdocx

Illustration

How to fill out nic ldc phdocx

01
To fill out the NIC LDC PHDOCX form, follow these steps:
02
Open the NIC LDC PHDOCX form on your computer.
03
Read the instructions provided at the beginning of the form.
04
Start by entering your personal details such as your name, address, and contact information in the designated fields.
05
Fill in the required information related to your qualifications, education, and work experience.
06
Make sure to provide accurate and complete information in each section of the form to avoid any errors or delays.
07
If there are any specific sections or questions that you are unsure about, you can refer to the guidelines or contact the relevant authority for assistance.
08
Once you have filled out all the necessary information, review the form to ensure everything is accurate and complete.
09
If required, attach any supporting documents or certificates as specified in the form instructions.
10
Finally, save a copy of the filled-out form for your records and submit it as per the submission instructions provided.

Who needs nic ldc phdocx?

01
NIC LDC PHDOCX is needed by individuals who are applying for the National Identity Card (NIC) in the LDC category. This form is specifically designed for people belonging to the Least Developed Countries (LDCs) who are seeking to obtain a national identity card for various purposes such as identification, official documentation, and accessing government services.
Fill form : Try Risk Free
Users Most Likely To Recommend - Summer 2025
Grid Leader in Small-Business - Summer 2025
High Performer - Summer 2025
Regional Leader - Summer 2025
Easiest To Do Business With - Summer 2025
Best Meets Requirements- Summer 2025
Rate the form
4.2
Satisfied
31 Votes

For pdfFiller’s FAQs

Below is a list of the most common customer questions. If you can’t find an answer to your question, please don’t hesitate to reach out to us.

nic ldc phdocx and other documents can be changed, filled out, and signed right in your Gmail inbox. You can use pdfFiller's add-on to do this, as well as other things. When you go to Google Workspace, you can find pdfFiller for Gmail. You should use the time you spend dealing with your documents and eSignatures for more important things, like going to the gym or going to the dentist.
With pdfFiller, an all-in-one online tool for professional document management, it's easy to fill out documents. Over 25 million fillable forms are available on our website, and you can find the nic ldc phdocx in a matter of seconds. Open it right away and start making it your own with help from advanced editing tools.
Create your eSignature using pdfFiller and then eSign your nic ldc phdocx immediately from your email with pdfFiller's Gmail add-on. To keep your signatures and signed papers, you must create an account.
NIC LDC PHDOCX stands for National Identification Card Lower Division Clerk Personal History Data Form.
Lower Division Clerks who are applying for the National Identification Card are required to fill out the NIC LDC PHDOCX form.
To fill out the NIC LDC PHDOCX form, applicants need to provide personal information, educational background, work experience, and any other relevant details requested on the form.
The purpose of NIC LDC PHDOCX is to collect personal history data of Lower Division Clerks who are applying for the National Identification Card.
Applicants must report their personal information, educational qualifications, work experience, and any other relevant details as requested on the NIC LDC PHDOCX form.
Fill out your nic ldc phdocx online with pdfFiller!

pdfFiller is an end-to-end solution for managing, creating, and editing documents and forms in the cloud. Save time and hassle by preparing your tax forms online.

Get started now
Form preview
If you believe that this page should be taken down, please follow our DMCA take down process here .
This form may include fields for payment information. Data entered in these fields is not covered by PCI DSS compliance.