Get the free Work Experience Packet For HTM 298WIsenberg School of ...
Show details
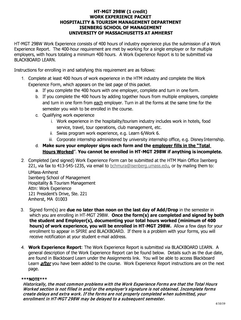
HTML 298W (1 credit) WORK EXPERIENCE PACKET HOSPITALITY & TOURISM MANAGEMENT DEPARTMENT EISENBERG SCHOOL OF MANAGEMENT UNIVERSITY OF MASSACHUSETTS AT AMHERST HTML 298W Work Experience consists of
We are not affiliated with any brand or entity on this form
Get, Create, Make and Sign work experience packet for
Edit your work experience packet for form online
Type text, complete fillable fields, insert images, highlight or blackout data for discretion, add comments, and more.
Add your legally-binding signature
Draw or type your signature, upload a signature image, or capture it with your digital camera.
Share your form instantly
Email, fax, or share your work experience packet for form via URL. You can also download, print, or export forms to your preferred cloud storage service.
Editing work experience packet for online
Here are the steps you need to follow to get started with our professional PDF editor:
1
Set up an account. If you are a new user, click Start Free Trial and establish a profile.
2
Prepare a file. Use the Add New button to start a new project. Then, using your device, upload your file to the system by importing it from internal mail, the cloud, or adding its URL.
3
Edit work experience packet for. Rearrange and rotate pages, add and edit text, and use additional tools. To save changes and return to your Dashboard, click Done. The Documents tab allows you to merge, divide, lock, or unlock files.
4
Save your file. Select it from your records list. Then, click the right toolbar and select one of the various exporting options: save in numerous formats, download as PDF, email, or cloud.
Dealing with documents is simple using pdfFiller. Try it right now!
Uncompromising security for your PDF editing and eSignature needs
Your private information is safe with pdfFiller. We employ end-to-end encryption, secure cloud storage, and advanced access control to protect your documents and maintain regulatory compliance.
How to fill out work experience packet for
How to fill out work experience packet for
01
Gather all relevant information about your work experience, including job titles, dates of employment, and a description of your duties and responsibilities.
02
Review the requirements and guidelines for filling out the work experience packet, if provided by your employer or organization.
03
Begin by providing your personal details, such as your name, contact information, and any unique identification numbers assigned to you.
04
List your previous employment history in chronological order, starting with the most recent job.
05
Include the name of each company or organization you worked for, the dates of employment, and the position you held.
06
Write a brief description of the duties and responsibilities you had in each position. Be specific and highlight any accomplishments or notable projects you were involved in.
07
Make sure to include any relevant certifications, licenses, or professional training you received during your employment.
08
Attach any supporting documents, such as reference letters, performance evaluations, or training certificates, if required.
09
Double-check your work to ensure all information is accurate and complete.
10
Submit the filled-out work experience packet to the designated person or department according to the instructions provided.
Who needs work experience packet for?
01
The work experience packet is typically required by employers or organizations that need to verify an individual's previous work history and qualifications.
02
It is often requested by companies during the hiring process to assess an applicant's skills and experience in relation to the job they are applying for.
03
Certain industries, such as healthcare or government, may have more strict requirements regarding work experience verification.
04
Additionally, individuals who are seeking professional certifications or licenses may also be required to provide a work experience packet to demonstrate their eligibility.
Fill
form
: Try Risk Free
For pdfFiller’s FAQs
Below is a list of the most common customer questions. If you can’t find an answer to your question, please don’t hesitate to reach out to us.
How can I edit work experience packet for from Google Drive?
By combining pdfFiller with Google Docs, you can generate fillable forms directly in Google Drive. No need to leave Google Drive to make edits or sign documents, including work experience packet for. Use pdfFiller's features in Google Drive to handle documents on any internet-connected device.
How can I send work experience packet for to be eSigned by others?
When your work experience packet for is finished, send it to recipients securely and gather eSignatures with pdfFiller. You may email, text, fax, mail, or notarize a PDF straight from your account. Create an account today to test it.
Can I edit work experience packet for on an iOS device?
Yes, you can. With the pdfFiller mobile app, you can instantly edit, share, and sign work experience packet for on your iOS device. Get it at the Apple Store and install it in seconds. The application is free, but you will have to create an account to purchase a subscription or activate a free trial.
What is work experience packet for?
The work experience packet is for documenting and proving the work experience gained by an individual during a specific period of time.
Who is required to file work experience packet for?
Individuals who are applying for certification or licensure in a certain profession may be required to file a work experience packet.
How to fill out work experience packet for?
The work experience packet can be filled out by detailing the specific job responsibilities, tasks, and achievements during the work experience period.
What is the purpose of work experience packet for?
The purpose of the work experience packet is to verify and validate an individual's claimed work experience in a certain field or profession.
What information must be reported on work experience packet for?
The work experience packet must include detailed information about the job responsibilities, tasks performed, duration of employment, and any relevant achievements.
Fill out your work experience packet for online with pdfFiller!
pdfFiller is an end-to-end solution for managing, creating, and editing documents and forms in the cloud. Save time and hassle by preparing your tax forms online.
Work Experience Packet For is not the form you're looking for?Search for another form here.
Relevant keywords
Related Forms
If you believe that this page should be taken down, please follow our DMCA take down process
here
.
This form may include fields for payment information. Data entered in these fields is not covered by PCI DSS compliance.