
Get the free State Holding Period Laws for Impounded AnimalsAnimal ...
Show details
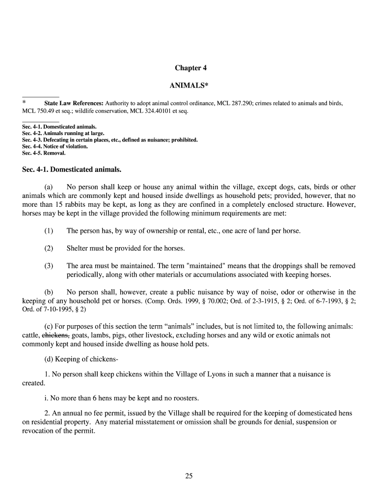
Chapter 4 ANIMALS* * State Law References: Authority to adopt animal control ordinance, MCL 287.290; crimes related to animals and birds, MCL 750.49 et seq.; wildlife conservation, MCL 324.40101 et
We are not affiliated with any brand or entity on this form
Get, Create, Make and Sign state holding period laws

Edit your state holding period laws form online
Type text, complete fillable fields, insert images, highlight or blackout data for discretion, add comments, and more.

Add your legally-binding signature
Draw or type your signature, upload a signature image, or capture it with your digital camera.

Share your form instantly
Email, fax, or share your state holding period laws form via URL. You can also download, print, or export forms to your preferred cloud storage service.
Editing state holding period laws online
Here are the steps you need to follow to get started with our professional PDF editor:
1
Check your account. In case you're new, it's time to start your free trial.
2
Prepare a file. Use the Add New button to start a new project. Then, using your device, upload your file to the system by importing it from internal mail, the cloud, or adding its URL.
3
Edit state holding period laws. Rearrange and rotate pages, insert new and alter existing texts, add new objects, and take advantage of other helpful tools. Click Done to apply changes and return to your Dashboard. Go to the Documents tab to access merging, splitting, locking, or unlocking functions.
4
Get your file. Select the name of your file in the docs list and choose your preferred exporting method. You can download it as a PDF, save it in another format, send it by email, or transfer it to the cloud.
pdfFiller makes dealing with documents a breeze. Create an account to find out!
Uncompromising security for your PDF editing and eSignature needs
Your private information is safe with pdfFiller. We employ end-to-end encryption, secure cloud storage, and advanced access control to protect your documents and maintain regulatory compliance.
How to fill out state holding period laws

How to fill out state holding period laws
01
To fill out state holding period laws, follow these steps:
02
Research the state holding period laws applicable to your jurisdiction. Each state may have different laws regarding the duration of holding periods for different types of assets.
03
Identify the types of assets or properties subject to holding periods. This can include stocks, real estate, vehicles, or other valuable assets.
04
Understand the specific requirements and exemptions for each type of asset. Some assets may have shorter or longer holding periods depending on the circumstances.
05
Determine the starting point for the holding period. This could be the date of purchase, acquisition, or other relevant event.
06
Calculate the duration of the holding period by counting the number of days or years as stipulated in state laws.
07
Adhere to any additional regulations or restrictions associated with the holding period. This could include limitations on sales, transfers, or other actions during the holding period.
08
Ensure compliance with reporting or documentation requirements. State holding period laws may require certain records or disclosures regarding the asset and the holding period.
09
Seek legal or professional advice if needed. State holding period laws can be complex and it is important to ensure thorough understanding and compliance.
10
Keep aware of any updates or changes to state holding period laws. Laws may evolve, and it is essential to stay up to date with any new regulations that may affect your obligations.
Who needs state holding period laws?
01
State holding period laws are necessary for various individuals and entities, including:
02
- Investors: Investors who trade or hold assets and securities need to understand and comply with state holding period laws to ensure proper handling and adherence to legal requirements.
03
- Financial Institutions: Banks, investment firms, or other financial institutions that engage in the buying, selling, or holding of assets on behalf of clients or themselves must adhere to state holding period laws.
04
- Executors or Administrators: Individuals appointed as executors or administrators of estates are responsible for managing and distributing assets according to state laws, including any applicable holding period requirements.
05
- Real Estate Agents: Real estate agents and brokers handling property transactions must be aware of state holding period laws related to real estate assets for proper disclosure and compliance purposes.
06
- Legal Professionals: Lawyers, attorneys, or legal professionals involved in asset management, estate planning, or transactions need to be knowledgeable about state holding period laws to properly advise their clients and ensure legal compliance.
07
- Individuals Selling Assets: Any individual or entity looking to sell assets or properties should be aware of state holding period laws to avoid potential legal consequences and ensure the proper transfer or sale of assets.
08
- Government Entities: Government agencies, regulatory bodies, or departments responsible for overseeing financial markets or asset trading may implement and enforce state holding period laws.
Fill
form
: Try Risk Free
For pdfFiller’s FAQs
Below is a list of the most common customer questions. If you can’t find an answer to your question, please don’t hesitate to reach out to us.
How can I get state holding period laws?
It's simple using pdfFiller, an online document management tool. Use our huge online form collection (over 25M fillable forms) to quickly discover the state holding period laws. Open it immediately and start altering it with sophisticated capabilities.
How do I complete state holding period laws online?
With pdfFiller, you may easily complete and sign state holding period laws online. It lets you modify original PDF material, highlight, blackout, erase, and write text anywhere on a page, legally eSign your document, and do a lot more. Create a free account to handle professional papers online.
How do I edit state holding period laws online?
pdfFiller allows you to edit not only the content of your files, but also the quantity and sequence of the pages. Upload your state holding period laws to the editor and make adjustments in a matter of seconds. Text in PDFs may be blacked out, typed in, and erased using the editor. You may also include photos, sticky notes, and text boxes, among other things.
What is state holding period laws?
State holding period laws are regulations that require companies to hold onto unclaimed property for a certain period of time before it can be surrendered to the state.
Who is required to file state holding period laws?
Businesses and financial institutions are typically required to file state holding period laws.
How to fill out state holding period laws?
To fill out state holding period laws, businesses must report unclaimed property to the state for safekeeping.
What is the purpose of state holding period laws?
The purpose of state holding period laws is to protect consumers by ensuring that unclaimed property is safely held until it can be returned to its rightful owner.
What information must be reported on state holding period laws?
Information such as the owner's name, last known address, and details of the unclaimed property must be reported on state holding period laws.
Fill out your state holding period laws online with pdfFiller!
pdfFiller is an end-to-end solution for managing, creating, and editing documents and forms in the cloud. Save time and hassle by preparing your tax forms online.

State Holding Period Laws is not the form you're looking for?Search for another form here.
Relevant keywords
Related Forms
If you believe that this page should be taken down, please follow our DMCA take down process
here
.
This form may include fields for payment information. Data entered in these fields is not covered by PCI DSS compliance.