
Get the free QUERINIS DE L'HORIZON - Elevage de l'horizon
Show details
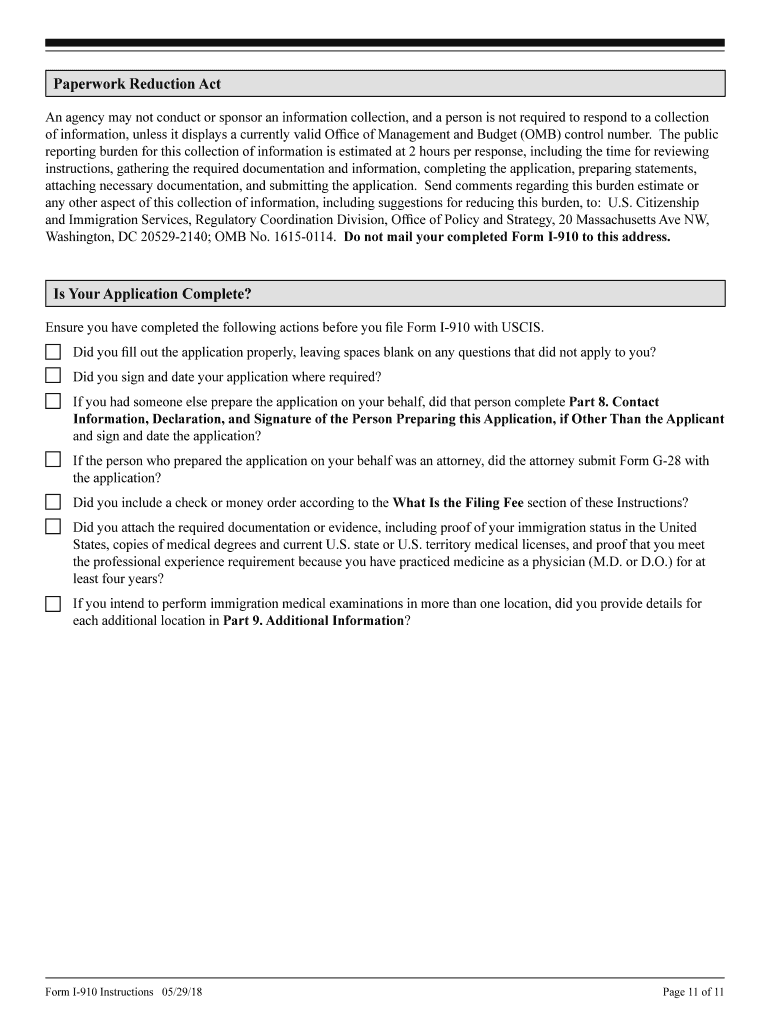
Instructions application for Civil Surgeon Designation
Department of Homeland Security
U.S. Citizenship and Immigration ServicesUSCIS
Form I910OMB No. 16150114
Expires 05/31/2020What Is the Purpose
We are not affiliated with any brand or entity on this form
Get, Create, Make and Sign querinis de lhorizon

Edit your querinis de lhorizon form online
Type text, complete fillable fields, insert images, highlight or blackout data for discretion, add comments, and more.

Add your legally-binding signature
Draw or type your signature, upload a signature image, or capture it with your digital camera.

Share your form instantly
Email, fax, or share your querinis de lhorizon form via URL. You can also download, print, or export forms to your preferred cloud storage service.
Editing querinis de lhorizon online
Here are the steps you need to follow to get started with our professional PDF editor:
1
Register the account. Begin by clicking Start Free Trial and create a profile if you are a new user.
2
Upload a document. Select Add New on your Dashboard and transfer a file into the system in one of the following ways: by uploading it from your device or importing from the cloud, web, or internal mail. Then, click Start editing.
3
Edit querinis de lhorizon. Rearrange and rotate pages, add new and changed texts, add new objects, and use other useful tools. When you're done, click Done. You can use the Documents tab to merge, split, lock, or unlock your files.
4
Get your file. Select the name of your file in the docs list and choose your preferred exporting method. You can download it as a PDF, save it in another format, send it by email, or transfer it to the cloud.
pdfFiller makes dealing with documents a breeze. Create an account to find out!
Uncompromising security for your PDF editing and eSignature needs
Your private information is safe with pdfFiller. We employ end-to-end encryption, secure cloud storage, and advanced access control to protect your documents and maintain regulatory compliance.
How to fill out querinis de lhorizon

How to fill out querinis de lhorizon
01
Start by obtaining a copy of the querinis de lhorizon form.
02
Read the instructions carefully to ensure you understand the purpose and requirements of the form.
03
Begin by providing your personal information, including your full name, address, and contact details.
04
Follow the designated sections to fill in the required information for each category or question.
05
Be thorough and accurate in providing the necessary details to complete the form.
06
If you encounter any difficulties or have questions, refer to the instructions or seek assistance from the relevant authority.
07
Once you have completed filling out the form, review it to ensure all information is correct and legible.
08
Sign and date the form as indicated.
09
Submit the filled-out querinis de lhorizon form to the designated recipient or authority.
10
Keep a copy of the completed form for your records.
Who needs querinis de lhorizon?
01
Querinis de lhorizon is typically needed by individuals or organizations that require specific information for a particular purpose.
02
Some examples of who may need querinis de lhorizon include government agencies, research institutions, legal entities, or individuals conducting surveys or data collection.
03
The exact requirements and reasons for needing this form may vary depending on the specific context or jurisdiction.
Fill
form
: Try Risk Free
For pdfFiller’s FAQs
Below is a list of the most common customer questions. If you can’t find an answer to your question, please don’t hesitate to reach out to us.
Where do I find querinis de lhorizon?
It's simple with pdfFiller, a full online document management tool. Access our huge online form collection (over 25M fillable forms are accessible) and find the querinis de lhorizon in seconds. Open it immediately and begin modifying it with powerful editing options.
How do I make edits in querinis de lhorizon without leaving Chrome?
Add pdfFiller Google Chrome Extension to your web browser to start editing querinis de lhorizon and other documents directly from a Google search page. The service allows you to make changes in your documents when viewing them in Chrome. Create fillable documents and edit existing PDFs from any internet-connected device with pdfFiller.
How can I fill out querinis de lhorizon on an iOS device?
pdfFiller has an iOS app that lets you fill out documents on your phone. A subscription to the service means you can make an account or log in to one you already have. As soon as the registration process is done, upload your querinis de lhorizon. You can now use pdfFiller's more advanced features, like adding fillable fields and eSigning documents, as well as accessing them from any device, no matter where you are in the world.
What is querinis de lhorizon?
Querinis de lhorizon is a tax form used for reporting income and assets held outside of the country.
Who is required to file querinis de lhorizon?
Individuals who have income or assets outside of their country of residence are required to file querinis de lhorizon.
How to fill out querinis de lhorizon?
Querinis de lhorizon can be filled out online or through a tax professional. It requires information about foreign income, assets, and financial accounts.
What is the purpose of querinis de lhorizon?
The purpose of querinis de lhorizon is to prevent tax evasion by ensuring that individuals report all of their income and assets.
What information must be reported on querinis de lhorizon?
Information such as foreign bank account details, income from foreign sources, and value of foreign assets must be reported on querinis de lhorizon.
Fill out your querinis de lhorizon online with pdfFiller!
pdfFiller is an end-to-end solution for managing, creating, and editing documents and forms in the cloud. Save time and hassle by preparing your tax forms online.

Querinis De Lhorizon is not the form you're looking for?Search for another form here.
Relevant keywords
Related Forms
If you believe that this page should be taken down, please follow our DMCA take down process
here
.
This form may include fields for payment information. Data entered in these fields is not covered by PCI DSS compliance.