
Get the free Women's Clinic (OB GYN) - Santa Clara, Campbell, Milpitas ... - mydoctor kaiserperma...
Show details
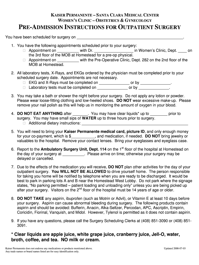
KAISER PERMANENT SANTA CLARA MEDICAL CENTER WOMEN CLINIC OBSTETRICS & GYNECOLOGYPREADMISSION INSTRUCTIONS FOR OUTPATIENT SURGERY You have been scheduled for surgery on. 1. You have the following appointments
We are not affiliated with any brand or entity on this form
Get, Create, Make and Sign womens clinic ob gyn

Edit your womens clinic ob gyn form online
Type text, complete fillable fields, insert images, highlight or blackout data for discretion, add comments, and more.

Add your legally-binding signature
Draw or type your signature, upload a signature image, or capture it with your digital camera.

Share your form instantly
Email, fax, or share your womens clinic ob gyn form via URL. You can also download, print, or export forms to your preferred cloud storage service.
Editing womens clinic ob gyn online
Follow the steps down below to use a professional PDF editor:
1
Create an account. Begin by choosing Start Free Trial and, if you are a new user, establish a profile.
2
Prepare a file. Use the Add New button to start a new project. Then, using your device, upload your file to the system by importing it from internal mail, the cloud, or adding its URL.
3
Edit womens clinic ob gyn. Rearrange and rotate pages, add new and changed texts, add new objects, and use other useful tools. When you're done, click Done. You can use the Documents tab to merge, split, lock, or unlock your files.
4
Save your file. Select it from your records list. Then, click the right toolbar and select one of the various exporting options: save in numerous formats, download as PDF, email, or cloud.
With pdfFiller, it's always easy to work with documents. Check it out!
Uncompromising security for your PDF editing and eSignature needs
Your private information is safe with pdfFiller. We employ end-to-end encryption, secure cloud storage, and advanced access control to protect your documents and maintain regulatory compliance.
How to fill out womens clinic ob gyn

How to fill out womens clinic ob gyn
01
Start by gathering all necessary documents and information, such as your medical history, insurance information, and any relevant test results.
02
Schedule an appointment with a women's clinic ob-gyn by calling their office or using their online scheduling system.
03
Arrive at the appointment a few minutes early and check in at the front desk.
04
When called back, follow the nurse or medical assistant to the examination room.
05
The ob-gyn will discuss your medical history and reason for the visit. Be prepared to answer questions honestly and provide any additional information.
06
Depending on the purpose of your visit, the ob-gyn may perform a physical examination, including a pelvic exam, breast exam, and Pap smear.
07
If necessary, the ob-gyn may order further tests or procedures, such as bloodwork or ultrasound.
08
After the examination, the ob-gyn will discuss their findings and recommendations with you. Ask any questions or concerns you may have.
09
If any follow-up appointments or treatments are needed, schedule them before leaving the clinic.
10
Before leaving, check out at the front desk and make any necessary payments or arrangements.
11
Keep a copy of your visit summary or any new prescriptions for your records.
12
Follow any instructions or recommendations given by the ob-gyn for your continued care.
Who needs womens clinic ob gyn?
01
Women of all ages who require specialized medical care related to their reproductive health can benefit from a women's clinic ob-gyn.
02
Common reasons for seeking care at a women's clinic ob-gyn include routine gynecological exams, pregnancy care, family planning services, contraceptive management, menopause management, and treatment for reproductive health issues.
03
Additionally, women experiencing symptoms such as pelvic pain, abnormal bleeding, urinary problems, or signs of infections should also seek care from an ob-gyn.
04
It is important for women to prioritize their health and seek regular medical care from an ob-gyn to maintain optimal reproductive health and well-being.
Fill
form
: Try Risk Free
For pdfFiller’s FAQs
Below is a list of the most common customer questions. If you can’t find an answer to your question, please don’t hesitate to reach out to us.
How do I execute womens clinic ob gyn online?
Completing and signing womens clinic ob gyn online is easy with pdfFiller. It enables you to edit original PDF content, highlight, blackout, erase and type text anywhere on a page, legally eSign your form, and much more. Create your free account and manage professional documents on the web.
Can I create an electronic signature for the womens clinic ob gyn in Chrome?
Yes. With pdfFiller for Chrome, you can eSign documents and utilize the PDF editor all in one spot. Create a legally enforceable eSignature by sketching, typing, or uploading a handwritten signature image. You may eSign your womens clinic ob gyn in seconds.
Can I edit womens clinic ob gyn on an Android device?
With the pdfFiller Android app, you can edit, sign, and share womens clinic ob gyn on your mobile device from any place. All you need is an internet connection to do this. Keep your documents in order from anywhere with the help of the app!
Fill out your womens clinic ob gyn online with pdfFiller!
pdfFiller is an end-to-end solution for managing, creating, and editing documents and forms in the cloud. Save time and hassle by preparing your tax forms online.

Womens Clinic Ob Gyn is not the form you're looking for?Search for another form here.
Relevant keywords
Related Forms
If you believe that this page should be taken down, please follow our DMCA take down process
here
.
This form may include fields for payment information. Data entered in these fields is not covered by PCI DSS compliance.