
Get the free general consent form - Early Connections Learning Centers
Show details
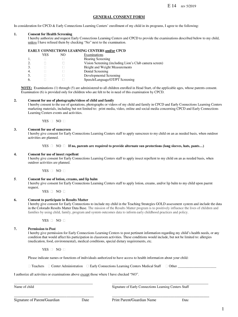
E 14rev 5/2019GENERAL CONSENT FORM In consideration for CCD & Early Connections Learning Centers enrollment of my child in its programs, I agree to the following: 1. Consent for Health Screening I
We are not affiliated with any brand or entity on this form
Get, Create, Make and Sign general consent form

Edit your general consent form form online
Type text, complete fillable fields, insert images, highlight or blackout data for discretion, add comments, and more.

Add your legally-binding signature
Draw or type your signature, upload a signature image, or capture it with your digital camera.

Share your form instantly
Email, fax, or share your general consent form form via URL. You can also download, print, or export forms to your preferred cloud storage service.
How to edit general consent form online
Use the instructions below to start using our professional PDF editor:
1
Log in to account. Click Start Free Trial and sign up a profile if you don't have one.
2
Prepare a file. Use the Add New button. Then upload your file to the system from your device, importing it from internal mail, the cloud, or by adding its URL.
3
Edit general consent form. Text may be added and replaced, new objects can be included, pages can be rearranged, watermarks and page numbers can be added, and so on. When you're done editing, click Done and then go to the Documents tab to combine, divide, lock, or unlock the file.
4
Save your file. Select it from your list of records. Then, move your cursor to the right toolbar and choose one of the exporting options. You can save it in multiple formats, download it as a PDF, send it by email, or store it in the cloud, among other things.
It's easier to work with documents with pdfFiller than you can have ever thought. Sign up for a free account to view.
Uncompromising security for your PDF editing and eSignature needs
Your private information is safe with pdfFiller. We employ end-to-end encryption, secure cloud storage, and advanced access control to protect your documents and maintain regulatory compliance.
How to fill out general consent form

How to fill out general consent form
01
Step 1: Obtain the general consent form from the appropriate authority or organization.
02
Step 2: Read the form carefully to understand the purpose and scope of the consent.
03
Step 3: Fill in your personal information accurately, such as full name, address, contact details, and date of birth.
04
Step 4: Provide any additional requested information, such as emergency contact details or medical history, if applicable.
05
Step 5: Review the terms and conditions of the consent form thoroughly before signing.
06
Step 6: Sign and date the form in the designated spaces.
07
Step 7: If required, have the form witnessed or notarized by a relevant authority or professional.
08
Step 8: Retain a copy of the filled-out consent form for your records.
09
Step 9: Submit the completed form to the respective authority or organization as instructed.
Who needs general consent form?
01
Various individuals or entities may need a general consent form depending on the specific context. This can include but is not limited to:
02
- Healthcare providers who require patient consent for medical procedures or treatments.
03
- Researchers conducting studies that involve human participants.
04
- Organizations or businesses obtaining consent for collecting and using personal data.
05
- Legal situations where consent is necessary, such as signing a contract or releasing liability.
06
- Parents or guardians providing consent on behalf of minors.
07
- Educational institutions seeking consent for certain activities or permissions.
08
- Any situation where consent is required to ensure compliance with legal or ethical standards.
Fill
form
: Try Risk Free
For pdfFiller’s FAQs
Below is a list of the most common customer questions. If you can’t find an answer to your question, please don’t hesitate to reach out to us.
How do I edit general consent form straight from my smartphone?
The best way to make changes to documents on a mobile device is to use pdfFiller's apps for iOS and Android. You may get them from the Apple Store and Google Play. Learn more about the apps here. To start editing general consent form, you need to install and log in to the app.
How do I complete general consent form on an iOS device?
Get and install the pdfFiller application for iOS. Next, open the app and log in or create an account to get access to all of the solution’s editing features. To open your general consent form, upload it from your device or cloud storage, or enter the document URL. After you complete all of the required fields within the document and eSign it (if that is needed), you can save it or share it with others.
How do I fill out general consent form on an Android device?
Complete your general consent form and other papers on your Android device by using the pdfFiller mobile app. The program includes all of the necessary document management tools, such as editing content, eSigning, annotating, sharing files, and so on. You will be able to view your papers at any time as long as you have an internet connection.
What is general consent form?
The general consent form is a document that allows individuals to give their permission for a specific action or activity to take place.
Who is required to file general consent form?
Any individual or organization that needs consent from others to proceed with a certain action or activity is required to file a general consent form.
How to fill out general consent form?
To fill out a general consent form, one must provide their personal information, the specific action or activity requiring consent, and sign the form to indicate their agreement.
What is the purpose of general consent form?
The purpose of a general consent form is to ensure that individuals are aware of and agree to certain actions or activities, thus protecting all parties involved.
What information must be reported on general consent form?
The general consent form must include the name and contact information of the individual providing consent, details of the action or activity requiring consent, and the date the consent is given.
Fill out your general consent form online with pdfFiller!
pdfFiller is an end-to-end solution for managing, creating, and editing documents and forms in the cloud. Save time and hassle by preparing your tax forms online.

General Consent Form is not the form you're looking for?Search for another form here.
Relevant keywords
Related Forms
If you believe that this page should be taken down, please follow our DMCA take down process
here
.
This form may include fields for payment information. Data entered in these fields is not covered by PCI DSS compliance.