Get the free Zoning By-Law Amendment - Town of The Blue Mountains, ON
Show details
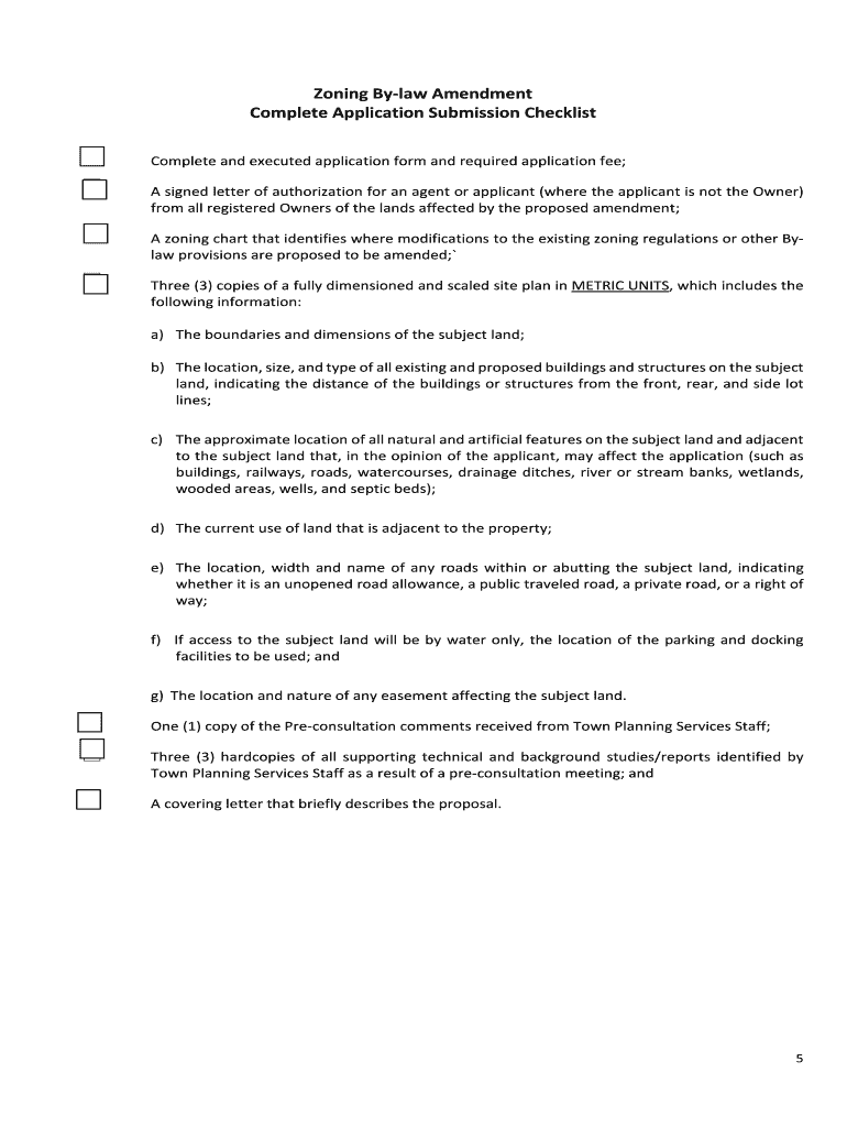
Town of The Blue Mountains
Zoning Bylaw Amendment Application Package
Planning Services
Town of The Blue Mountains
P.O. Box 310, 32 Mill Street
Thorn bury, Ontario
N0H 2P0
Tel.: (519) 5993131
Fax:
We are not affiliated with any brand or entity on this form
Get, Create, Make and Sign zoning by-law amendment
Edit your zoning by-law amendment form online
Type text, complete fillable fields, insert images, highlight or blackout data for discretion, add comments, and more.
Add your legally-binding signature
Draw or type your signature, upload a signature image, or capture it with your digital camera.
Share your form instantly
Email, fax, or share your zoning by-law amendment form via URL. You can also download, print, or export forms to your preferred cloud storage service.
How to edit zoning by-law amendment online
Here are the steps you need to follow to get started with our professional PDF editor:
1
Sign into your account. In case you're new, it's time to start your free trial.
2
Upload a file. Select Add New on your Dashboard and upload a file from your device or import it from the cloud, online, or internal mail. Then click Edit.
3
Edit zoning by-law amendment. Rearrange and rotate pages, add new and changed texts, add new objects, and use other useful tools. When you're done, click Done. You can use the Documents tab to merge, split, lock, or unlock your files.
4
Get your file. Select your file from the documents list and pick your export method. You may save it as a PDF, email it, or upload it to the cloud.
pdfFiller makes dealing with documents a breeze. Create an account to find out!
Uncompromising security for your PDF editing and eSignature needs
Your private information is safe with pdfFiller. We employ end-to-end encryption, secure cloud storage, and advanced access control to protect your documents and maintain regulatory compliance.
How to fill out zoning by-law amendment
How to fill out zoning by-law amendment
01
Review the existing zoning by-laws to understand the current regulations and restrictions in your area.
02
Identify the specific changes or amendments you want to make to the zoning by-laws.
03
Determine if your proposed amendments align with the long-term goals and plans of the local government or planning department.
04
Prepare a formal written application for the zoning by-law amendment, including a detailed explanation of the proposed changes and the reasons behind them.
05
Submit the application to the appropriate local government or planning department, along with any required fees or supporting documents.
06
Attend any public hearings or meetings related to the zoning by-law amendment, and be prepared to present your case and address any concerns or objections from stakeholders or the public.
07
Cooperate with the local government or planning department to address any issues or modifications that may arise during the review process.
08
Once the amendment is approved, ensure compliance with the new regulations and communicate any changes to relevant parties or stakeholders.
Who needs zoning by-law amendment?
01
Individuals or businesses who wish to use their property in a way that is not currently permitted by the existing zoning by-laws.
02
Developers or investors who plan to build or renovate structures in a manner that deviates from the current zoning regulations.
03
Municipalities or local governments that want to update their zoning by-laws to reflect changing demographics, land use patterns, or community development goals.
04
Landowners who want to change the permitted use of their property, such as converting residential land to commercial land or vice versa.
05
Community organizations or advocacy groups that want to promote specific types of development or protect certain types of land uses in a particular area.
Fill
form
: Try Risk Free
For pdfFiller’s FAQs
Below is a list of the most common customer questions. If you can’t find an answer to your question, please don’t hesitate to reach out to us.
Can I create an electronic signature for the zoning by-law amendment in Chrome?
As a PDF editor and form builder, pdfFiller has a lot of features. It also has a powerful e-signature tool that you can add to your Chrome browser. With our extension, you can type, draw, or take a picture of your signature with your webcam to make your legally-binding eSignature. Choose how you want to sign your zoning by-law amendment and you'll be done in minutes.
How can I fill out zoning by-law amendment on an iOS device?
Get and install the pdfFiller application for iOS. Next, open the app and log in or create an account to get access to all of the solution’s editing features. To open your zoning by-law amendment, upload it from your device or cloud storage, or enter the document URL. After you complete all of the required fields within the document and eSign it (if that is needed), you can save it or share it with others.
How do I fill out zoning by-law amendment on an Android device?
Use the pdfFiller mobile app and complete your zoning by-law amendment and other documents on your Android device. The app provides you with all essential document management features, such as editing content, eSigning, annotating, sharing files, etc. You will have access to your documents at any time, as long as there is an internet connection.
What is zoning by-law amendment?
Zoning by-law amendment is a change to the existing zoning regulations for a specific piece of land or property.
Who is required to file zoning by-law amendment?
Property owners or developers who wish to change the permitted land use or development standards are required to file zoning by-law amendment.
How to fill out zoning by-law amendment?
Zoning by-law amendment forms are typically available on the local government's website or can be obtained in person from the planning department. The form must be completed with relevant information about the proposed changes.
What is the purpose of zoning by-law amendment?
The purpose of zoning by-law amendment is to ensure that land use regulations are updated to reflect changing circumstances or development needs.
What information must be reported on zoning by-law amendment?
Information that must be reported on zoning by-law amendment includes the current zoning designation, proposed changes, rationale for the changes, and potential impacts on the surrounding area.
Fill out your zoning by-law amendment online with pdfFiller!
pdfFiller is an end-to-end solution for managing, creating, and editing documents and forms in the cloud. Save time and hassle by preparing your tax forms online.
Zoning By-Law Amendment is not the form you're looking for?Search for another form here.
Relevant keywords
Related Forms
If you believe that this page should be taken down, please follow our DMCA take down process
here
.
This form may include fields for payment information. Data entered in these fields is not covered by PCI DSS compliance.